Menu
Write a review
File a complaint
Wells Fargo Profile

Wells Fargo

www.wellsfargo.com

Learn how the rating is calculated

2.4

Overall customer rating from reviews and complaints

Wells Fargo earns a 2.4-star rating from 22 reviews and 1727 complaints, showing that the majority of banking clients are somewhat dissatisfied with financial services.

Claim Your Business
Take control of your profile: address complaints and engage with reviews
Write a review File a complaint

Wells Fargo Complaints Page 6 of 87

ComplaintsBoard
M
9:08 am UTC
Verified customer This complaint was posted by a verified customer. Learn more

Wells Fargo accepting a scam wire and and refused to return it

Two of the branches one in Charlotte and one in Daytona received to wires that were taken out of my Chase account and they refused to return in to Chase to send back to me. They rather hand it over to the thieves who stole all my money.

They were reported to the FBI, local police, federal banking authorities and Chase bank and they are not giving it back and did nothing to help out.

Desired outcome: $29,000 returned to me

Read full complaint and 1 comment
Hide full review
1 comment
Add a comment
C
C
Charles J Lynch
Salt Lake City, US
Send a message
Apr 26, 2023 4:57 pm UTC
Verified customer This complaint was posted by a verified customer. Learn more

Wells Fargo Bank teller deposited a check for $1902.63 into my account. Gave back $100.00 to me in cash, then approved taking funds out the next day. After 2 days time, they sent message saying check had bounced, and removed $1902.63 from my account to cover check. This left my wife and I without money to pay for food and bills for the entire month. I don't get paid again until third Wednesday of May. I believe that if they excepted the deposit, they are the ones responsible for the funds, not me. Thanks Wells Fargo.

ComplaintsBoard
S
11:27 am UTC

Wells Fargo Credit card

I have had a credit card with Wells Fargo for 11 years. It was my oldest credit account and it was recently closed for no reason. It is not delinquent, doesn’t even have a balance, and my credit is the best it’s ever been. I have had 2 auto loans with Wells Fargo all in good standing so there’s no reason for them to close an account and hurt my credit.

Desired outcome: Reverse this account being closed so it doesn’t negatively impact my credit.

Read full complaint
Hide full review
ComplaintsBoard
J
5:30 pm UTC
Verified customer This complaint was posted by a verified customer. Learn more

Wells Fargo Checking, savings, and credit card accounts closed for no reason

Cover Letter

I am writing this letter to express my dissatisfaction with the recent decision of Wells Fargo Bank (“WF”) to close my bank accounts and credit cards without any prior notice or explanation. This has caused me a great deal of inconvenience, stress, and has put me in a difficult situation.

I have been a loyal customer of WF for over 20 years and have always maintained a good standing with the bank. I have never had any issues with my account and have always paid my bills on time. However, I was surprised to receive a letter from the bank stating that my account had been closed due to "internal policy reasons".

This decision has caused me a great deal of inconvenience as I have several pending transactions and bills that are due to be paid through this account. I have been left without access to my funds and have been unable to make any new transactions or payments.

Furthermore, the bank did not provide me with any explanation or warning regarding the closure of my account. This lack of communication has made it difficult for me to understand the reasons behind this decision and to take any necessary steps to rectify the situation.

I request you to kindly investigate this matter and provide me with a satisfactory explanation as to why my account was closed. I also request the bank to provide me with the necessary support to resolve this issue and to ensure that I can access my funds and make any pending transactions as soon as possible.

Thank you for your attention to this matter.

Sincerely,

John Porter

 

Background

On March 8, 2023, I received a notice from WF, NA (See A) that they will be closing my only checking and savings accounts (acct#s ending with 4959 & 3868). I have no other checking or savings accounts with any other financial institutions. I called the number to the Prevention Contact Center (“PCC”), which was included on the letter [protected]. I spoke to two individuals at the PCC, neither of these individuals were able to provide me with any information as to why this decision was made. They simply said, “it was a business decision” and had no further details. They referenced an agreement that I signed when I was a minor (approximate seven years old) that gave WF the unilateral ability to close a bank account at their discretion. During this phone conversation, I requested they send me a copy of this signed agreement and they agreed that I would receive a signed (by me, John F Porter), within seven to 10 business days. It has not been 20 business days and I have not received the promised document. I then filed a complaint, and they provided me with the following complaint number #030723-CA9E39A46245.

That same day, I called the WF Executive Office of Prevention and spoke to a woman named Katie. Katie acknowledged that “I have a good rapport with WF and have been a great customer for more than 20 years”. She had no access to the information that could explain why my account was closed and simply provide a vague explanation of it being a “business decision”.

The following day, March 9, 2023, I called WF Corporate Customer service at [protected] and spoke to a woman named Micheldra who provided me the Executive Customer Service phone number, which was [protected]. I called that number, which was, and spoke to an Executive Office Receptionist named Jackie. Jackie said that I should receive a call from a case specialist within a few days.

After a few days, I received a call from Executive Office Case Specialist, Deb B and provided her with the complaint number (#030723-CA9E39A46245). Deb informed me that no complaint by that number was in WF’s system and that no complaint had been created associated with my account, despite the Prevention Contact Center’s assurances that one had been created. Deb B then created a complaint about the issue based on my concerns, which was (#[protected]).

After working with Deb B for over a week, she called to inform me that there was nothing that she could do and that my checking and savings accounts would be closed as scheduled on April 20, 2023. This is despite the fact that I have my mortgage with WF and I signed an agreement that I would pay my mortgage using my Well Fargo checking account (acct# ending 3868). Later that day, I received a secure message from WF (see B). Within this notice, they attached an unexecuted “Deposit Account Agreement” that I never signed despite their promise to provide an executive agreement.

Today, April 5, 2023, I received two letters dated March 29, 2023, that both credit cards I hold with WF, NA were closed (past tense) without warning or notice (see C & D). This is even though I have a FICO credit score (according to WF) of 842. Today, I called the number referenced on the letters, which was [protected]. Unfortunately, I did not get the name of the representative I spoke with. The person provided me with a generic scripted response that stated the following:

“WF prudentially performs ongoing and continual reviews to ensure our business relationships meet our standards and the intense standards of our regulators. “

When I asked why I no longer met WF’s “standards”, the representative stated, “they are not required to give specifics”. I think expressed my frustration with this response and the representative quickly transferred me (unable to get name), to the WF Customer Advocacy Department.

After a brief hold, I was transferred to a woman named Stefaline (possibly sic) who essentially had me read the letter I received back to her, which states:

“As part of our normal business operations, we periodically review account information to ensure it’s accurate, complete, and meets our regulatory requirements.”

I then I told her I was more than willing to provide any information to ensure my WF account was “accurate and complete”. Stefaline said there is no information that I could provide that could address this issue. I think asked “what regulatory requirements” do my credit card accounts not meet? Again, she was unable to answer this question. I then requested that she opened a complaint with her department, and she provided me with the following number: 04052370BDBBD858A9. She was not able to provide me with a timeline or an expectation on when I would be hearing back.

Based on my previous experience, I do not expect to receive fair treatment from WF and therefore am requesting your attention to this matter at your earliest convenience.

Desired outcome: I would like my bank account to remain open and my credit card accounts reopened and any further action by Wells Fargo to be held in abeyance until a reasonable explanation for why they have closed my accounts can be provided.

Read full complaint
Update by John F Porter
Apr 29, 2023 1:22 pm UTC

This complaint was not resolved.

Hide full review
ComplaintsBoard
S
9:49 pm UTC
Verified customer This complaint was posted by a verified customer. Learn more

Wells Fargo Check on hold for 12 days!!

I deposite $2612 on my Wells Fargo bank account yesterday, they put my check on hold for 12 days! For absolutely no reason at all, especially because I know really my payers, the funds have been withdrawn from their bank account( this people are very wealthy) and well Fargo is telling me that they noticed irregularities from their bank account what the heck ?! And that is not all, they also put my other check ($272) on hold as well from a school that I work for because they found a signature irregularities! This is a joke ? I read online that apparently well Fargo is fraudulent, I never believed it until now! What can I do? I have bills to pay and Wells Fargo don’t give a damn!

Read full complaint
Hide full review
ComplaintsBoard
K
2:20 pm UTC
Verified customer The reviewer confirmed their account using Google. Learn more

Wells Fargo Claim loss payments

I had a house fire in October and the entire inside of my house had to be gutted.

I had no problem with the insurance company or the contractors. Then it came time to deal with Wells Fargo. The claim loss process for Wells Fargo is atrocious. 1st I contacted the insuranceclaimcheck.com people I was told to call when my insurance check came in. I was advised I could take it to my local branch to deposit. So I go to the branch and then get told I had to overnight it to South Carolina thus delaying the process for the first time. Then 3/29 I had my first inspection for Wells Fargo done (It took 4 days after requesting it) The inspector wrote his report and sent it off the same day. Now a week later, InsurancClaimCheck.com site and the person I called say they still haven't posted the results yet and even when they do get them, it takes two days to process. Two whole days to see the word "pass" on the report and post it and then they will eventually get around to "overnighting" the payment. Meanwhile the money has run out and the contractors are waiting for additional funds so they can keep working. I've been out of my house for 6 months and if it weren't for city permitting and Wells Fargo, I'd have been back in it by now. I want to say I have never had a problem with the mortgage side of it. But their property loss department is not at all what I would have expected

Desired outcome: Release of funds so I can pay my contractors.

Read full complaint
Hide full review
ComplaintsBoard
T
11:36 am UTC

Wells Fargo Poor Communication by Wells Fargo

Wells fargo just sent me an email, to my primary email listed in their files, and their email said they were "unable to contact me" and I needed to update my email address. I double checked to see if my email was changed or removed from my account, and it was still listed.

So, if they cant contact me, how did I get the notice to my email if they can't contact me?

Bunch of total idiots!

Desired outcome: To make people aware of Wells Fargo's poor communication process!

Read full complaint
Hide full review
ComplaintsBoard
G
1:02 pm UTC
Verified customer This complaint was posted by a verified customer. Learn more

Wells Fargo Estate division, first clearing house

My name is Ginger Cree and we have been attempting to close my Aunt, Sandra Soules IRA for 18 months. Numerous emails, phone calls and instructions on what to do. We follow this request and then always rejected. With each rejection, you then allow 10-15 business days to even respond. This has been the absolute worst experience and customer service I have ever been introduced to in my entire lifetime.

When we ask for what is required to close/transfer this account in writing we do not even get a response to our email.

We had our estate attorney on the last phone call with customer service and the agent we spoke too gave advice that violates Texas law and then followed up by saying I am not an attorney.

UNREAL.

You have caused a lot of pain, delays, poor instruction, etc during a very difficult time. Forced us to go to probate and take care of final expenses out of pocket based upon refusal to gain access to checking, savings account or IRA. So literally thousands of dollars in expenses.

Wells Fargo banking centers are very clear that this is a separate division and they can not assist.

We are retaining an attorney to battle for us now; as your company is ZERO help.

Read full complaint and 1 comment
Hide full review
1 comment
Add a comment
T
T
Tammy Russell-Rice
Henderson, US
Send a message
May 07, 2023 4:22 am UTC
Verified customer This complaint was posted by a verified customer. Learn more

I am having a similar experience with my husband's IRA. I feel as though it has been stolen from me. And, I do not seem to have any real recourse?! I am about ready to pull all of my money out of Wells Fargo!

ComplaintsBoard
D
4:11 pm UTC
Verified customer The reviewer confirmed their account using Facebook. Learn more

Wells Fargo My checking account

Iam really getting tired of my account not letting my debit card go through,

Iam in ukraine, trying to order things for my kid back in bellingham wa,

And you are not letting things go throght, I went to the back before I came here and let them know activty will be coming from other countrys, please let things go through, at this point amazone int, ant get the cad to run

Please open my account up so I stop etting screwed overhere, I go back to poland and back to ukraine alot

Please help

Danny mick

[protected]@hotmail.com

You can tex, for 2 mors days to +[protected]

Desired outcome: i want to be able to use my debit over seas,, when i want tomake it work

Read full complaint
Hide full review
ComplaintsBoard
R
1:15 am UTC
Verified customer The reviewer confirmed their account using Google. Learn more
Featured review
This review was chosen algorithmically as the most valued customer feedback.

I visited your branch at 2485 Notre Dame Blvd., Chico Ca, 3-16-23. aprox 3:30 pm. I spoke with Chritain Delgado. I requested 11 thousand out of my personal account and was notified that there was a limit of 10 thousand dollars per day. I expressed my annoyance and Mr. Delgado threatened me with non-service. I ask to speak with the manager, and he stated...

Read full complaint
ComplaintsBoard
T
10:46 am UTC

Wells Fargo Cancelling of debit card

Cancelled card. Hopefully I have my facts straight because I got so mad my brain caught on fire.

On 3/9/2023 I called Wells Fargo and talked to Shareen at phone number [protected]. The very first words out of my mouth were DO NOT CANCEL MY CARD

I had a notice of two suspected fraud charges on my debit card. One was to UPS and the other to someone I did not immediately recognize. I asked this dip stick to help me identify the merchant. I only had limited info, she had all that was available.

Shareen asked if I made those charges and I said I made the UPS transactiton but I am trying to find out more about the other charge. She says, "Where do you want your new card sent?" What why did you cancel my card, she mumbles something. I say get your supervisor on the phone, long delay and Jewel or Julie (I was so mad now I wasn't hearing straight). She spouts a bunch of BS and after more "why was my card canceled when I said don't cancel" she says she will express ship my new card. Blah blah blah and I new have to go to each place (merchant) and replace my old card with the new number. No matter

how hard you try there is always one or two you forget and bam you get a notice in the mail or email that your card was declined. Embarrassing to me.

The next day I realized who the charge was for and that I made it. Just a little help from Shareen and all this would have been avoided. A pox on you Shareen.

Desired outcome: School Shareen on helping people, after all she is in CUSTOMER SUPPORT and not in How to PO a customer.

Read full complaint
Hide full review
ComplaintsBoard
B
1:45 pm UTC

Wells Fargo Misleading mortgage advertising

In May of 2013 I went to refinance my home loan with Wells Fargo after reading on their web site that a 30 year fixed rate was 3.75%. When I went to the bank to refinance the loan officer told me it was 3.875% and that I could buy down to 3.75%. I didn't question it at that time because I trusted Wells Fargo. I just found out, IF THEY ADVERTISE A SPECIFIC RATE ON THEIR WEB SITE I SHOULD HAVE RECEIVED THAT RATE. Thay have been overcharging me one quarter of a % for 10 years. Evidently, they have doing things that are NOT considered honest practices. I know it has been awhile but I just found out that I should have received the lower rate without buying it. Thank you.

Desired outcome: If possible a refund of excess interest paid for the last 10 years. Adjust my rate to 3.75% for the duration of my loan.

Read full complaint
Hide full review
ComplaintsBoard
F
2:15 pm UTC
Verified customer This complaint was posted by a verified customer. Learn more

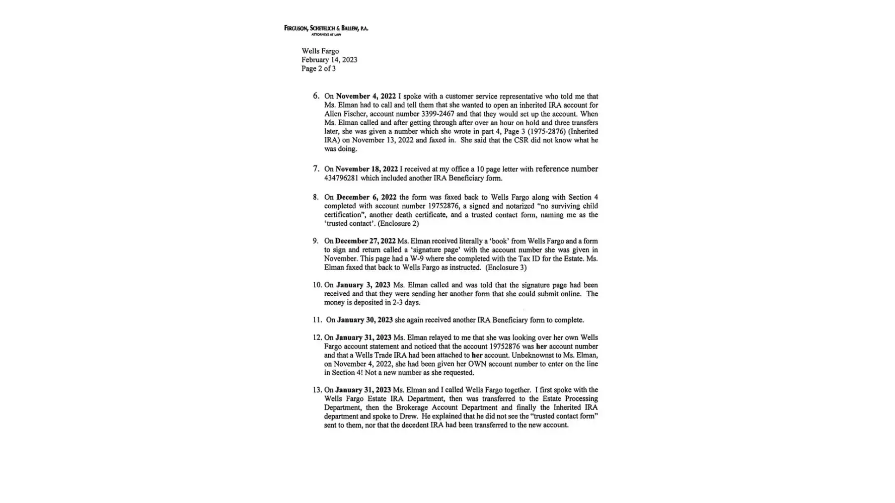
Wells Fargo Inherited IRA

Please see attached letter. The enclosures have not been attached due to sensitive information. This has to do with a person who has died and who had an IRA with Wells Fargo and the history of trying to get it moved to an Inherited IRA and subsequently closed

Desired outcome: Please process this IRA Beneficiary form, open an inherited account and advise Ms. Elman

Read full complaint
View 0 more photos
Hide full review
ComplaintsBoard
M
5:40 pm UTC
Verified customer This complaint was posted by a verified customer. Learn more

Wells Fargo RSN device

I was issued an RSD device when I first opened: a personal checking, savings, and business accounts in 1996. Over the years I never had use for the device until the year 2020. My device no longer showed any numbers, so I called and requested a new one. I was DENIED one; told that it would never be needed. This, after being a customer for 20+ years, financing multiple home loans, vehicle loans, 20+ years of a business account, etc. Today, February 11, 2023 I used my account several times, checking balances, paying bills, etc. Later in the day, I discovered another bill I had forgotten that needed to be paid Today and when I tried to log in, I was asked to prove my identity by entering my RSD number! Since I was told almost three years ago that I could not receive an RSD device, the old one was discarded. I did finally get another option to prove my identity, but I am still extremely upset and insulted about not being issued a new one to replace the disabled one. As it now stands, it could be very possible to need such an item quite suddenly. Which may or may not be resolved as soon as it should be, without much inconvenience and possible cost. I would like to add that, many times, when I need to call in for customer assistance, I am not only treated with less than respectful service that I feel is due a long standing customer, but also quite often I am unable to get the knowledgeable answers I seek. Your customer service personnel certainly needs better training, in my opinion. The problem is not getting better with time, as more complicated issues arise. I received an email some weeks ago asking for my opinions on the services I need from my bank, and I did answer quite honestly that I am currently dissatisfied with the quality of services from Wells Fargo. I have received no reply and probably will not receive one from this issue. But I am certainly hoping that some improvement can be made.

Marion Stewart
11906 Cypress Creek Lakes Dr
Cypress Tx 77433
[protected]@gmail.com

Desired outcome: An answer regarding the aforementioned RMS device and other issues acknowledged.

Read full complaint
Hide full review
ComplaintsBoard
L
2:44 pm UTC

Wells Fargo Credit card promotion terms with empire was misleading

I purchased floors from Empire over a year ago with a credit card from Wells Fargo.I had a promotional offer with zero interest. I have excellent credit and paid my bill on time each month.

I have 2 complaints.

One is about the deceptive practices by the Empire person when she told me about the great financing I'd receive if I opened a Wells Fargo credit card. Zero interest for a year. I ask for clarification after the promotion and not once was I told that if I didn't pay in full by end of promotion, the interest is retroactive to the day I opened acct. That's crazy. If I was told upfront what the terms were, I would have just paid by check. I would have never agreed to those horrible, misleading terms of a credit card.

Two, Wells Fargo did not send me the Nov or Dec 2022 statement online so I could pay my bill. I received all my other bills over the year except those two months. I called 2 times to ask where my statements were for Nov and Dec 2022 and was told to look them up online on my acct. I did make the payments so I would not be late. Also, extenuating circumstances that during this time I was taking care of my seriously ill disable veteran father out of state. I was inundated with his affairs and had other things on my mind but still made my payments so I wasn't late.

When the Jan 2023 bill can to me online, I noticed all the interest that was added to my acct from 2022. I was mortified. This is not fair to the consumer to trick them into getting a credit card and then hope they don't understand the pay in full interest fees/promotion once this ridiculous promotion expired. These practices are so deceiving.

Desired outcome: I would ask to please refund or waive the interest accrued in 2022, approx $1790 due to misleading information on the terms of the promotion.

Read full complaint
Hide full review
ComplaintsBoard
C
8:27 pm UTC

Wells Fargo Home Mortgage and Contract Fraud

I have found the fraud you guys use on contracts. It is Grammatical Deception/FRAUD using GLOSSED TEXT/DOG-LATIN/DEBASED-LATIN/Legalese Language on contracts. People think they're reading English and they're factually not its A.S.L. Your contracts only pertain to PERSON/LEGAL FICTIONS, not man or woman. We're not making anymore payments due to fraud discovered.

Desired outcome: If you want us to act as BORROWER providing you services then you're ordered to pay a FEE of $400,000 per year to act as a LEGAL FICTION or Send Legal Title, Discharge the Mortgage or send a $750,000 compensation check.

Read full complaint
View 0 more photos
Update by Common Law Enforcement
Feb 06, 2023 8:52 pm UTC

Proof of 2 Languages. GOAT/GOTE = Blacks Law. Goat = English... yall got caught. GRAMMATICAL DECEPTION/FRAUD.

View 0 more photos
Hide full review
ComplaintsBoard
P
6:36 pm UTC

Wells Fargo Bank wire transfer

The most useless bank in the world steals your money by closing your internet banking, then once you finally get through to a representative to get access again, they then flag any activity as fraud, in particular, if you want to wire some of your own money to one of your own other banks back home.

If you are abroad they will tell you to go into a bank to resolve it (there aren't any local WellForget banks in France), and if you are abroad and disabled you are screwed as they expect you to get on a plane to visit a local branch. So they get to keep your money and you cannot access your own funds.

Utterly useless and despicable bank.

Desired outcome: How about some actual customer service who can achieve something, rather than being passed pillar to post and then getting nowhere?

Read full complaint
Hide full review
ComplaintsBoard
S
1:42 pm UTC

Wells Fargo Bastrop Texas branch always closed or unavailable

I have been a Wells customer for 20+ years and a loyal customer of the Bastrop Texas branch for the past 15. Beginning a couple of years prior to Covid, this branch's service had declined. Tellers were untrained, lots of turnover, errors in deposits and with change... the sort of things that should never happen in a bank. The branch has struggled through Covid with staffing and in recent months I had hoped that they were back on track, due to redoing their set up and training.

However, in the past two weeks, the branch has been closed off and on, the drive through window has also been closed and now, as of last week, the teller machine is offline.
There are no notices, no explanations, no one answers the phone, and just called customer service to find out the status of the branch, had the call escalated and was told that 'no one has any information and 'they' don't tell us any information regarding branch opens and closures.'

So here I am, needing to know the branch status. I have a business so need to deposit cash and get cash. This is my closest branch, at 30 miles round trip from my home and the next closest one is about 60 miles round trip. I've made 4 trips to deposit cash over the past two weeks with no luck so need to know what to expect and if I need to change banks (which I really don't want to have to do!)

Desired outcome: Branch remains open and adheres to posited hours. That the ATM works for all it's provided transaction types.

Read full complaint
Hide full review
ComplaintsBoard
E
1:19 pm UTC

Wells Fargo Racism

I am a long time customer of well fargo. I also have thousands of dollars in my savings and checking accounts. I recently read that you are no longer giving loan for home ownership, to white people. You’re only giving home loans to blacks and minorities. That is racism! So I am going to take my thousands of dollars of my white money out of your bank and put it into another bank that is not racist against white people. Ms. Norton

Desired outcome: Stop being racist against white people.

Read full complaint
Hide full review
ComplaintsBoard
M
12:25 am UTC

Wells Fargo Home mortgage

After paying my mortgage of the same amount of $685 for over 18 years I get a letter out of no where today telling me I have an escrow shortage of over $1,100 but when I go on my mortgage banking app it shows I have a shortage of only $256. If I don't send them the $1,100 my mortgage payment goes up to over $850 a month, and if I do pay the shortage my payment goes up to $731! First of all how do I have a shortage at all, they take my escrow payments out automatically every month, second if I pay "said shortage" why does my payment go up at all?

Wells Fargo was just sued for millions of dollars for ripping people off, not for banking problems but for exactly this same reason! So what is the point of suing them at all? So they can just continue to rip off and screw over innocent, hard working people just to get back the money had to pay back. Why does Wells Fargo get to rip people off and and have zero consequences to their actions. I guess it's time to reach out to a lawyer and start working on class action suit #2.

Desired outcome: For me and kids to NOT become homeless because I can't afford for Wells Fargo to rip me off.

Read full complaint
View 0 more photos
Hide full review
ComplaintsBoard
D
10:03 am UTC

Wells Fargo Bryant service loan through wells fargo

I was charged a late fee because my payment was not processed by Charlotte, NC for days! I received a one time waiver because the payment was sent on time. I sent the second payment to be received 4 days prior to due date. I tracked and what happened, again not processed until day after due date, thus charging me again a late fee. How can anyone pay on time via mail? Taking 3 or more days to process a check received?

I have no issues with any other bank or institution and I pay on due date. I will have to pay you at least a week prior to due date or more! Your solution in customer service, call us. UGHHH

You have issues in your account receivable department that need to be looked into.

I rarely work with your bank and when I have to I cringe. Always an issue.

1/17/2023

Desired outcome: Remove my late fee for January 16th due date!! Charged on the 17th!

Read full complaint
Hide full review
Trust badge
Collect Your Trust Badge
Be recognized for outstanding customer service
Wells Fargo Category
Wells Fargo is ranked 3 among 358 companies in the Banks category

Most discussed Wells Fargo complaints

Loan payoff
1
(opinions to this review)