Menu
Write a review
File a complaint
North Texas Tollway Authority [NTTA] Profile

North Texas Tollway Authority [NTTA]

www.ntta.org

Learn how the rating is calculated

1.4

Overall reputation rating based on reviews and complaints

North Texas Tollway Authority [NTTA] has an overall reputation rating of 1.4/5 based on 6 reviews and 317 complaints, indicating that the majority of toll road users are dissatisfied with driving experience.

Claim Your Business
Take control of your profile: address complaints and engage with reviews
Write a review File a complaint

North Texas Tollway Authority [NTTA] Complaints Page 4 of 16

ComplaintsBoard
N
6:39 pm UTC

North Texas Tollway Authority [NTTA] ZipCash Bill

I sold a car in December 2020 and submitted the needed notification online to the state of Texas. I continued to receive zipcash bills from NTTA and contacted them each time to tell them I no longer owned the car. Each time I provided the paperwork and proof of sale they required. One of the last times I talked to them the guy told me to follow a different link and method from what was given previously. I went through that process twice because it was denied the first time with no reason given. I’m now getting collection calls and letters on a regular basis even though each time I receive new contact I again jump through the hoops they tell me to. I’m so sick and tired of providing the same thing over and over again but people continue to say I owe a balance that I do not because it all happened after I sold the car. This is extortion at this point since I’m being threatened by someone saying the amount I owe will be more if I don’t pay or face judgement. Acct [protected]

Desired outcome: Delete the charges!!!!

Read full complaint
Hide full review
ComplaintsBoard
E
4:17 pm UTC

North Texas Tollway Authority [NTTA] $10 late fee

I received two bills from NTTA within 10 days of each other. One was from services from November and one from December. Both of the bills were paid by two different checks from my bank’s “bill pay”. Both amounts were subtracted from my bank on May 9th, but supposedly posted on May 10th. The first bill was due on May 6th. I received another statement from the first bill, and it included an additional $10 for a late fee on a $16.10 charge. I called NTTA, and the representative was nice as she explained that after talking to the boss, I had to pay the late fee. The reason it had not been credited to my account was because they had changed my account number at some point, but I had plenty of funds in my old account, to pay the late fee. My complaint is, if I had money in an account and they have had it for a while (years) then my payment was not late. In addition, why not return overpayments instead of sitting on them?

Desired outcome: Credit my account for the $10 late fee.

Read full complaint
Hide full review
ComplaintsBoard
N
7:09 pm UTC

North Texas Tollway Authority [NTTA] customer service call

The guy was very rude and impatient. He kept yelling at me when I asked him to repeat what he said (he had a thick accent and he was mumbling). I was confused by the charges since I am enrolled in autopay but got bills for nonpayment. I told the guy I needed to double check and he just hung up on me. I get that this isn't the best job but if you hate it this much, stop wasting my time and yours and find something else.

Desired outcome: I want the customer service reps to be trained better. Being nicer to customers won't hurt anyone.

Read full complaint
Hide full review
ComplaintsBoard
A
6:01 pm UTC
Verified customer This complaint was posted by a verified customer. Learn more

North Texas Tollway Authority [NTTA] Charges that I was told would be voided.

I received a bill of $345 for paper plates that I now have a toll tag for. I contact NTTA to have my new toll tag applied to the bill so it could be reduced, and I could pay it on 3/19. During the call, the lady I spoke with advised that she had removed the bill and I would not be billed for the charges. I asked her multiple times if she was sure as I had the funds and was prepare to pay for whatever the remaining balance would be after the fees were applied. She assured me that she had taken care of the it and I would not have anything additional to pay. I was beyond thankful and sobbed on the phone as I asked her if she was sure. She again assured me. Fast forward to last week when I received a bill for $280. This was the original bill after a $65 payment had been made. I called and spoke to Stephanie I believe regarding the bill. I advised her that I had spoken to someone on 3/19 who assured me that this bill had already been taken care of. She advised that she could give me the discount to total around $180 but that she could not void the invoice. I requested multiple times that someone please review the audio from my previous call on 3/19 as I had called to pay for the invoice and now did not have the funds to pay this lump sum. I requested to be transferred to a supervisor to discuss at which time I spoke to Mario. He again told me that these were my charges and there wasn't anything he could do aside from discounting the fees to take into account the toll tag. On several occasions he was rude and talked to me like I was an idiot/child and wasn't listening. He made several mistakes when speaking and didn't take responsibility for them. I told him I would pay the fees but I would not be able to pay them at one time since I was essentially lied to about this bill. I requested that someone with NTTA review the recording on 3/19 and contact me to discuss as this is something that NTTA is at fault for and someone should be held accountable for. Someone should at least acknowledge their mistake. Today I was contacted by another supervisor at NTTA who proceeded to review all of the transactions with me again and advised that these were my charges and I would be responsible. At no point have I disputed that these were my charges. I have stated multiple times that I initially called to pay the invoice. She advised that after the call on 3/19 it looks as if the charges were regenerated from back in 2021 but they were still my responsibility. I asked her multiple times if she had reviewed the audio as that it what I requested the call for and she advised she was reviewing the transactions which I had already done with Mario on 4/23. I again requested it be escalated so someone would review the tape and acknowledge that there was in fact a mistake that NTTA should take responsibility for. She initially acted like she would submit a request but then advised the charges were mine and I would be responsible for them. Again, I am not disputing that these charges are mine. I am though arguing that NTTA told me one thing and someone did not follow thru. I requested a number for a corporate office and again requested someone review the tape so SOMEONE would acknowledge that I am not full of it. This is completely about someone lying to customers and the company not doing anything to make it right even if that is only to acknowledge the mistake. Instead I have been talked down to and made to feel as if I am a Karen and trying to get something for free which has never been the case. I had one request and even today that lady could not follow thru.

Desired outcome: I would like someone to follow thru and listen the audio as i have requested multiple times. I would like someone to acknowledge the issue.

Read full complaint
Hide full review
ComplaintsBoard
R
2:28 pm UTC
Verified customer This complaint was posted by a verified customer. Learn more

North Texas Tollway Authority [NTTA] Toll booth fees

In November of 2019 My vehicle was used in a toll booth for a total of $5 in fees. Supposedly I was sent multiple bills in that timeframe but I received nothing. They subsequently waited 2 years to send my 3rd and “final” notice with thinly veiled threats and $40 in late fees, despite never sending me the first bills.

I spoke with them at length over the phone explaining that I was deployed and the only reason my car was in that part of the state was because my father had died and we were dealing with his estate. Had I known there was a toll bill, especially of such a insignificant amount I would have paid it. They claimed they could do nothing with the late fees as it was already with “legal”. Essentially charging me the maximum amount in fees, waiting until I couldn’t contest it and THEN sending me a bill.

Unethical billing practices. I have seen countless similar stories online for the NTTA and other toll road authorities in Texas.

Desired outcome: Removal of late fees and pay toll fees in full.

Read full complaint
Hide full review
ComplaintsBoard
R
11:42 pm UTC

North Texas Tollway Authority [NTTA] Charged for late payment when payment was made and not credited.

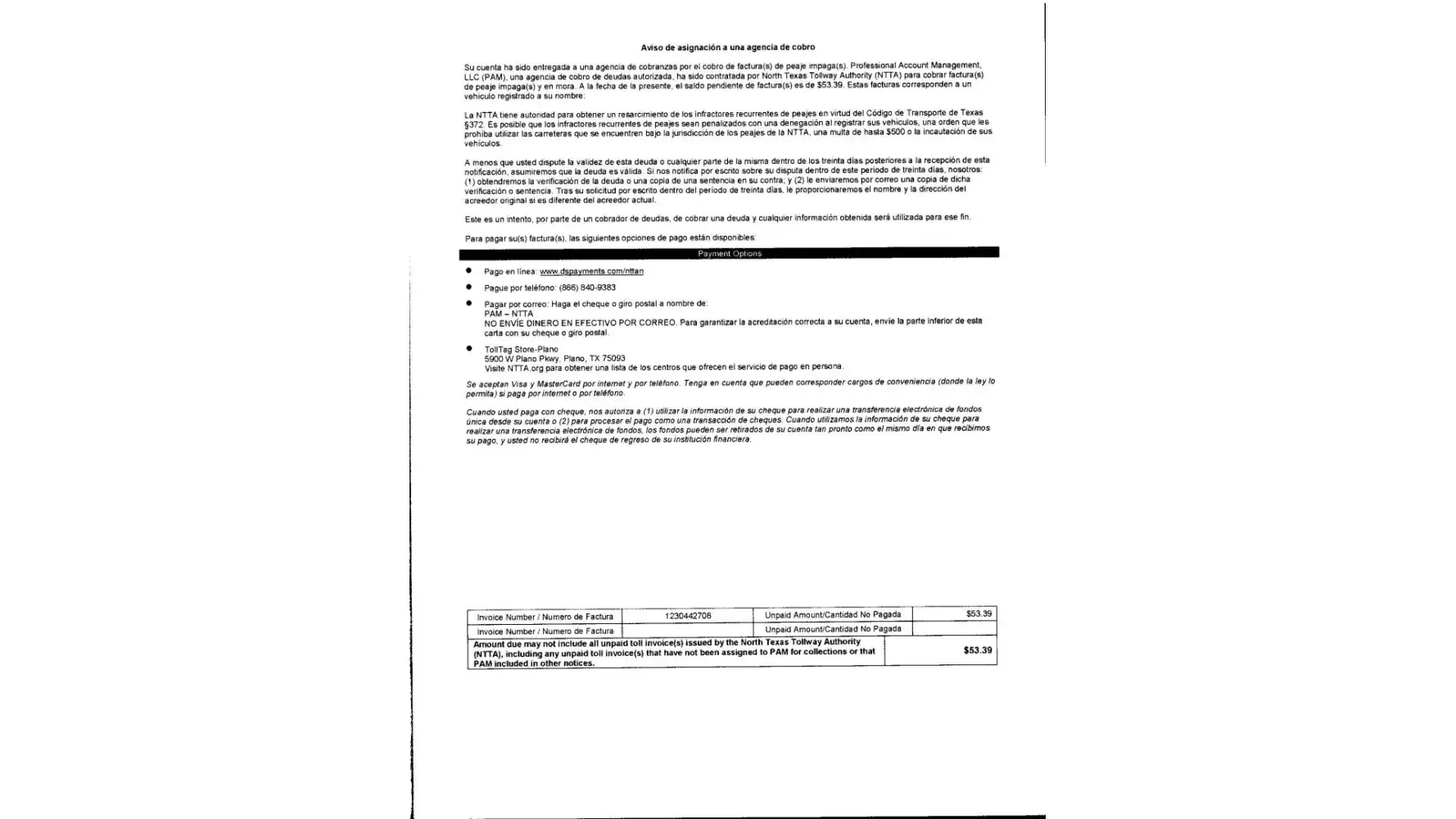
I received a bill for toll charges from 11/16/21 to 12/12/21 for the amount of $18.39. I sent a check #3667. My banking institution showed the check was cashed and posted in my account on 1/10/2022 prior to the due date of 1/12/2022. NTTA cashed the check but did not show those charges were paid in full.

I received another bill for toll charges 12/27/2021 to 01/06/2022. There were charges that were double billed from the previous toll charge bill. I sent a check #3671 for the amount of 12.26. That check was posted at my financial institution on 1/19/2022, prior to the due date 2/06/2022.

-NTTA sent me a 1st Notice of Non-Payment for $18.36 and $10.00 for late fee's.

-NTTA sent me a 2nd Notice of Non-Payment for $53.39 which included $18.39, $10.00 late fee, and additional $25.00 Second Notice of Late Fee's.

-I sent a letter to NTTA on 3/15/2022 to NTTA that the $18.39 was paid on time and no late fee's should have been charged. The return receipt was signed by JV on 3/19/2022. There was no response from NTTA that payment has been received and credited as paid.

-NTTA sent a 3rd Notice of Non-Payment. In addition, I've received a debt collection letter from Professional Account Management.

Desired outcome: Account showing paid in full. ALL late fees rescinded. Any notification made to credit bureaus to be rescinded and documentation sent to me showing everything has been accomplished.

Read full complaint
Hide full review
ComplaintsBoard
I
4:53 pm UTC
Verified customer This complaint was posted by a verified customer. Learn more

North Texas Tollway Authority [NTTA] Incorrect chargers

NTTA send me a bill of $1026.00 on toll chargers, so I call them and tried to make payments arraignments' so they said told me that they will be send them me a Email with the payments plan to I can sign it and returned to them, well 2 weeks past and I never got it so I call again and spoke with a different person and she told me that my bill is now $1700.00 and that I have to paid it an full no arraignments she was very rude, so I need someone to help me with this please because also they put a block on my 2 cars to get my registration even though that mine is the only one that I owe tolls the other vehicle is my wife's but im also in the registration. Please I need help with this situation

Read full complaint
Hide full review
ComplaintsBoard
A
6:19 pm UTC
Verified customer This complaint was posted by a verified customer. Learn more

North Texas Tollway Authority [NTTA] Double billed with zip cash when I have a toll tag

I have had a toll tag for the last 10 years and noticed a few months ago that a lot more was being deducted from the auto pay than what I was actually using. I removed auto renew because I had more of a balance in my account than what I was using. I then began receiving zip Cash notifications in my mail. Even though it shows on my online toll tag account that the tolls were being taken out appropriately, I was still receiving zip cash notifications for the same tolls. I called Customer Service and I was told that I hadn’t updated my new plate number. I explained that the tolls were still being taken out of my online toll account, and that I was being double charged through a zip cash account as well. They offered to knock $50 off of what the cash amount was, but I don’t feel that it is right to double charge me at all. I shouldn’t have to pay any of the zip cash because it was already taken out of my toll tag account.

Desired outcome: Dig deeper into the situation and wipe away the zip cash “amount owed” because it was already paid through my toll tag.

Read full complaint
Hide full review
ComplaintsBoard
C
7:05 pm UTC

North Texas Tollway Authority [NTTA] Unconfirm charges that do not correlate with 2 trips on NTTA

I am being over charged for trips I have not made, the following are the only trips I have made because I keep a calendar with all my trips for my jobs. Please fix your system and correct the mistakes, and quit over charging my license plates.

On 2/16/22 I went from Garland George Bush Toll Way to 3208 Thunderbird Lane in Plano to work.

The 2nd trip was on 2/22/22 to work at 2301 W. Campbell Road in Garland, Texas.

Carolina Melton aka Billy Melton

500 Broken Arrow Pass

Quinlan, Texas 75474

Desired outcome: Refund my credit card for trips not made on 2/16/22 and 2/22/22.Thank you.

Read full complaint
Hide full review
ComplaintsBoard
T
11:18 pm UTC

North Texas Tollway Authority [NTTA] Double Billing

Received a bill on 2/25/22 for tolls dating back to 5/14/21. It is a first notice. Have proof of payment for tolls through 7/26/21. Called NTTA customer service on 2/25/22 at approximately 4:40 pm CST. Spoke with a customer service representative named Janae. Heard laughter and chatter in the background. She stated she had no record of the numerous payments I have made over the last 3 years. The only solution she provided was to prove to NTTA that I paid the tolls. She did not provide info on where to send the proof. Asked to speak to a manager. She denied the request. Asked for her managers name. She denied the request. Asked for her employee ID number or her direct extension. She denied the request.

Desired outcome: Credit any paid portion of the paid tolls. Reprimand customer service representatives who give terrible customer service and train them how to serve customers.

Read full complaint
Hide full review
ComplaintsBoard
H
1:26 pm UTC

North Texas Tollway Authority [NTTA] I paid my bill and i was put in conlection?

To who this my concern,

We went to with my family to Texas. This was the first time, we were't good at location there and we ran to where we had to pay for toll fees.

In 28 November, we received a bill and we paid it right a way. After that we received another bill saying that we didn't pay for our bill and charged me for late fee. I wrote a note and attached a proof of payment and mailed it out.

We thought the bill was adjusted this time but we still got a another bill up to $38.81. This was ridiculous and we can't stand it any more. we send another documents with signature to make sure Tollway Authority got it.

Bad luck still comes to us this time. we got the third notice. I called Texas Tollway the rude lady said that she got my documents but she haven't got my check. She needed the back of my check. I told her I paid it from my account online how could I have what she needed. she said she didn't care. and she said she will put me in collection.

I immediately called my Chase Bank to make sure if my payment was sent out one time. They said it was sent out to NNTA but they didn't cash yet. If they have question about the check called us at [protected]

this is not my fault.

TODAY, 25FEB2022, I got a collection notice from NTTA.

Please correct all these mess and. And let me know if I have to got to the court.

Read full complaint
Hide full review
ComplaintsBoard
A
8:31 pm UTC
Verified customer This complaint was posted by a verified customer. Learn more

North Texas Tollway Authority [NTTA] I am disputing a toll bill for my Massachusetts vehicle. Zip Cash Account ID [protected]. My Pin is 4017

Please reference Zip Cash Account ID [protected]. I was charged a toll violation for my Massachusetts vehicle license plate # 99394. This license plate is attached to my vehicle - a 2005 Silver Lexus LS 430 sedan. I have attempted for the last 4 months to have this charge removed as the picture attached to this invoice is attached to a commercial truck / trailer. Today for the 6th time a spoke with a supervisor named Leslie and she assured me that it is clear that the picture on the invoice is not a Lexus car - it is clearly a truck. Also, I will attach a picture of my car with the license plate attached! Please note that in Massachusetts the "CAR" license plates have the word Massachusetts on the top of the license plate and "The Spirit of America" on the bottom of the license plate. If you look closely in the picture on the most recent invoice BOTH OF THESE ARE MISSING! I have been working on this for the past five months and each time I receive the same promise that this will be resolved and I will receive confirmation via email. But I am still waiting. It has been over 20 years since I have been to Texas and my vehicle has never been there. I am hoping you can help with this extremely stressful situation ASAP.

Desired outcome: I would like an apology and remove this outstanding balance from my records.

Read full complaint
View 0 more photos
Hide full review
ComplaintsBoard
D
3:49 pm UTC

North Texas Tollway Authority [NTTA] Fraudulent charges

My Toll Tag account has gone to collections as a result of “outstanding balance” from 2020. However, I have personally spoken with and made several confirmed payments via (main office billing associate). These conversations included “autopay” as well as alleged “outstanding bill” payments, which are confirmed with bank statements. My attempts to resolve this issue have been met with ZERO accountability, competence, or resolution. Half of the alleged (4) bills have been payed. Without any valid explanation for the source of the (424) toll charges. Leaving me with $500 in payments and an undetermined $600 + remaining. I am uncertain about where the ethics or morals of this company exist. As a business owner, I would expect at the minimum there are legal guidelines that are being breached. Please help. Thank you for your time.

Desired outcome: Remove outstanding balance

Read full complaint
Hide full review
ComplaintsBoard
B
2:06 am UTC

North Texas Tollway Authority [NTTA] High fees and not deducting payments I paid.

I made several payments and wrote letter and received no acknowledgment. I just keep getting these late fee notes with the high fees added to them. I wrote complaining and did not receive any feedback. I am going to find out who I need to write and complain to someone in the city of Dallas because this is ridiculous. Somebody is filling up their pockets off of the poor citizens. Crooks are in your organization!

Sincerely,

Billie TaylorSmith

Desired outcome: Stop ripping people off.

Read full complaint
Hide full review
ComplaintsBoard
V
3:34 pm UTC
Verified customer This complaint was posted by a verified customer. Learn more

North Texas Tollway Authority [NTTA] Fraudulent billing for many months

We do not drive on Texas Toll roads! We never have driven on any Texas Toll Roads. We have been being billed many months. We traded truck in April 2021. We have the license plates. we get billed every 2 months, We have filed case numbers, they give us credits, not for all balances. We get new charges for late fees.!

ZIPCASH Account ID [protected] : pin 8577 and 7308

License Plate CHK3102

Vehicle 2007 CHEV C25

Desired outcome: Cancel account and all Bills and Balances

Read full complaint
Hide full review
ComplaintsBoard
T
1:01 pm UTC

North Texas Tollway Authority [NTTA] Bill sent to my loan office instead of me

I tried to resolve this by speaking with a supervisor who was very rude and couldn't figure the problem out. She became upset and told me she wasn't going to go back and forward with me that it was only 9am. No one has been able to tell me why I never received the bill and why the amount they verbally says I owe is totally different than what the online system says and the letter I received from my loan company says

Desired outcome: For someone to call me and resolve the issue

Read full complaint
Hide full review
ComplaintsBoard
J
12:45 pm UTC
Verified customer This complaint was posted by a verified customer. Learn more

North Texas Tollway Authority [NTTA] Paying bill

I called NTTA (Dava) today and she was wonderful! She was very kind to me, patient, and helped me get everything I needed to be done! I couldn't find out how to write a good review, so I'm doing here.

As a customer, I would suggest her management give her a raise, ASAP. This woman is doing amazing at her job and if you do some type of training there, she should be training everyone in this company - she is the epitome of what good customer service looks like.

Desired outcome: Dava was Wonderful, today !!!

Read full complaint
Hide full review
ComplaintsBoard
T
3:22 pm UTC

North Texas Tollway Authority [NTTA] Davonte - CSR

I would like to complain about the representative Davonte who refused to allow me to speak with a supervisor and continued to tau t and be rude. He asked me my name several times. He then asked me to spell it and asked again what is my name. I gave him the information about the street address, I gave it twice it was not enough. He never did help me and refuse to allow me to speak with anyone else. It was as if it was his goal to upset me . I do not believe this should be allowed. I have a invoice that is being billed to me but it does not belong to me, I sold the car over a year ago.

Desired outcome: I want the tolls removed. The CSR should not be allowed to do this to customers. He is a reflection of your company.

Read full complaint
Hide full review
ComplaintsBoard
L
3:21 pm UTC

North Texas Tollway Authority [NTTA] Charging me for a vehicle I do not own

NTTA took out $10 from my account for usage on a car I do not own. I called them several times they just kept having me call back then said I owed them $1.16 and had to pay that in order to close my account. I had a vehicle AM0R3 registered but expired 10/2019 and that car was not on any tolls after that yet the charges they made to my account were on 2021 when a different vehicle with that toll tag used the tolls. I do not own a vehicle registered with AM0R3 or AMOR3. NTTA charged me for somebody else's toll usage and refused to correct their mistake. I paid the $1.16 cent to be able to close the account but they said the account will be open for 90 days after that payment to post any other transaction. It should've been them owing me money and paying me back not the other way. Please investigate them so they don't do this to other people and also so they don't charge me any further for somebody else vehicle. As of 2021 no vehicles with either AMOR3 or AM0R3 are registered to me. Pictures included one of my car expired plates the other of the invoice they sent me with a photo from their footage of a persons car that I do not own yet they charged my account for it. (clearly not the same plates or vehicles) NTTA tolls wrongly charged me. The footage proves its not the same car.

Desired outcome: Have them close my account and refund me the $10.00 and the additional $1.16 cents and remove my information to avoid future charges for a car that I have nothing to do with.

Read full complaint
View 0 more photos
Hide full review
ComplaintsBoard
A
9:09 am UTC

North Texas Tollway Authority [NTTA] Unregulated billing notices

My husband and I have both experiences this TWICE now, on SEPARATE occasions. We both have used the NTTA, however, instead of receiving the emails notifying that our bills are are due OR the mailed letters with bills, we are now ONLY receiving third notices of non-payment. The NTTA IS A RIP OFF! I spent a 45min conversation with the supervisor who couldn't explain why we only received third non-payment notices without previous notices first. The NTTA is ripping people off with very high late fees. And I will be posting as many negative reviews with as many places as possible until the NTTA stop doing this to people. Because if they're doing it to us then they're doing it to others. STOP RIPPING OFF PEOPLE AND SEND THE DAMN ORIGINAL BILLS!

Desired outcome: To resolve this and send original bills, not just the third non payment notices. To give people adequate time to pay the FIRST bill.

Read full complaint and 1 comment
Hide full review
1 comment
Add a comment
B
B
Billie Catherine Taylor-Smith
Marshall, US
Send a message
Feb 15, 2022 1:56 am UTC

The NTTA is doing this to me also…..sending third notices without sending first notice. I have sent payments in and they do not deduct anything. They just keep adding expensive fees on. This is not right! We need to write The Mayor of Dallas. I think I will.

The NTTA is ripping people off!

Trust badge
Collect Your Trust Badge
Be recognized for outstanding customer service