Menu
Write a review
File a complaint
Edward Jones Profile

Edward Jones

Learn how the rating is calculated

1.8

Overall customer rating from reviews and complaints

Edward Jones earns a 1.8-star rating from 1 reviews and 115 complaints, showing that the majority of clients are dissatisfied with financial advisory services.

Claim Your Business
Take control of your profile: address complaints and engage with reviews
Write a review File a complaint

Edward Jones Complaints Page 5 of 6

ComplaintsBoard
Q
3:39 pm UTC

Edward Jones phone surveys

Just got my 2nd robo call at 6:25 PM Tuesday November 8th. I already registered a complaint regarding the first call I received a few days ago. I am also on the NO CALL LIST. I am also aware that consumer surveys do not apply. But why call a client who says not to? This really hurts my perception of Edward Jones and I will relate the same to all my clients interested in investing their hard earned funds.

Kerry Lenon CPA, CFP

Read full complaint
Hide full review
ComplaintsBoard
D
8:02 pm UTC
Verified customer The reviewer confirmed their account using Google. Learn more

Edward Jones payments not made

This has been ongoing for 2 years. In December 2015 Edward Jones was court ordered to disburse the funds from my mothers Trust account NLT 31 March. All documentation was given to them in time to do this. It was not done. We signed a legally binding agreement giving Edward Jones until 30 June 2016 to disburse the funds. The funds have not been disbursed nor has any reason been given for this. Calls and emails to the agent handling the account, Leland Maloney, have never been returned. He has not returned or answered one phone call or email in the entire 2 year period we have been forced to deal with him. They are in contempt of court for missing the first deadline and legally out of compliance by not following the binding agreement to disburse funds by the end of June.
Edward Jones needs to disburse the funds immediately. They also need to pay the current bank interest rate for the time they have denied us use of the monies. Finally, Leland Maloney needs to be reprimanded in writing and attention brought to the attention of the CEO, Carolyn Ann Parmer and Kenneth R. Cella Jr, Principal and Partner regarding his behavior and lack of compliance with court orders and legally binding agreements, among other things.

Read full complaint
Hide full review
ComplaintsBoard
C
3:05 pm UTC
Verified customer This complaint was posted by a verified customer. Learn more
Featured review
This review was chosen algorithmically as the most valued customer feedback.

7/22/2015 Date of incident, Branch 99165, main account [protected] accounts in reference [protected], and [protected]. Accounts mentioned are roth iras that I had in branch 99165 with the local financial advisor being Morgan R. Manfre that advised me when asked about the distribution of the funds and if I would do so whether I would face any...

Read full complaint
ComplaintsBoard
R
2:26 pm UTC

Edward Jones financial services

Have been an Edward Jones client for many years. After relocating to Bullhead City, Arizona, I met with and completed an account transfer to their local financial fraudster, Kari Hoffman. This advisor has continously made trades from my account without my express permission. She has bullied me unmercifully to buy a high commission (for her) annunity. This woman needs to be fired and prosecuted for her fradulent actions.

Read full complaint
Hide full review
ComplaintsBoard
M
6:20 pm UTC
Verified customer This complaint was posted by a verified customer. Learn more

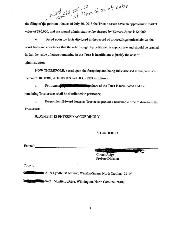
Edward Jones won't release funds after court ordered

This company has been a real bully. They have lost a gr6, at deal of money because their fees are high and the trust is small. Around 27, 000.00 as of now and could have released the funds but instead wanted court order. After almost a year, about huge attorney fee and time the court gave them the order. They are taking their attorney fees out of my account as well. They are 6, 800.00 when I asked for a itemized bill because they spent most of the last month with release after release for me to sign they came up with one that not only releases them from anything but also has me pay for any defense that if anyone else tries to sue them. Totally nutty. They still want release the funds until I sign rights away that can be harmful. Here is a copy, I put a few comments in () as to what this looked like.
RECEIPT AND REFUNDING AGREEMENT
The Trust dated April 17, 2003, as Amended and Restated The undersigned (“”), beneficiary of The Family Trust F/B/O dated April 17, 2003, as Amended and Restated (the “Trust”), hereby acknowledge receipt from The Edward Jones Trust Company (the “Trustee”), of all assets listed in Schedule A annexed hereto (less fees and costs of Trustee totaling $____ ), as the net proceeds due on account of the termination of the Trust per the August 12, 2015, Judgment and Order entered by the Probate Division of the Circuit Court of the County of St. Louis, State of Missouri (hereinafter referred to as the “Judgment and Order”).
states, to the best of her knowledge that:
• Charles Martin and Charlotte Davis were apportioned separate shares of The Martin Family Trust dated April 17, 2003 for their respective benefit, and that said separate shares were terminated by Reliance Bank, a successor trustee to Travelers Bank pursuant to Article VII under the Trust; (They do not know that.) (Most likely this was because under SC law it was a terminated to small unprofitable trust or that it was a trust under $100, 000.)
• On July 9, 2015 she executed a Release Agreement fully releasing Trustee its predecessors, successors, affiliates, related companies, employees, officers, directors, agents, attorneys, owners, partners, insurers and assigns, from any and all liability, claims, causes of action or damages, direct or indirect, in law or in equity, known and unknown, now or hereinafter arising from or relating to any matter involving the Trust.
See Release Agreement attached hereto as
Exhibit 1. agrees to refund and pay over to the Trustee such amounts as may be requested in writing by the Trustee to reimburse the Trust for any over-distribution to her or to satisfy her pro-rata portion of any debt of the Trust, any tax deficiency owed by the Trust to the Internal Revenue Service or to any state or other taxing authority (including all penalties and interest), any demand or claim presented by another beneficiary, creditor or other claimant of the Trust; however, her obligation to refund and pay over shall be limited to the amount of the distribution made by the Trustee to her.
warrants that she has the full right and power to receive said distribution, that no other person is interested therein, and has not sold, assigned, transferred or set over the same or any interest therein or any part thereof.
She acknowledges she is executing this Receipt and Refunding Agreement (the “Agreement”) with the intention that it be legally binding on her, her heirs, personal representatives and assigns. She reaffirms and incorporates by reference herein her release of Trustee, set forth in the Release Agreement attached hereto as Exhibit 1, and further agrees to indemnify, defend, and hold harmless Trustee, its predecessors, successors, affiliates, related companies, employees, officers, directors, agents, attorneys, owners, partners, insurers, and assigns of and from any and all claims, liabilities, damages, demands, lawsuits, costs, and expenses that Dorner may have had in the past, present or future, arising from, relating to, or otherwise challenging this Agreement, the Judgment and Order, or the amounts paid or due under this Agreement.
In the event that any third party brings a claim against Trustee arising from, relating to, or otherwise challenging this Agreement, the Judgment and Order, or the amounts paid or due under this Agreement, and that claim is substantially identical to a claim concurrently brought by the same third party against her,
She agrees to indemnify, defend, and hold harmless Trustee, only for such claims substantially identical to those brought against her.(This part is really strange) In this event, she shall have the choice of representation. Other than specifically mentioned above, She is not responsible for the actions or inactions or claims costs or attorney’s fees, brought by any other persons, legal entities or beneficiaries regardless of the validity of any such claim. (They have appointed themselves judge and jury here)
Dated: _______________ by: ____________________________________ she, as beneficiary and sole permissible distribute of the Trust
STATE OF ) ) ss: COUNTY OF ) On the day of August, 2015, before me the undersigned, a Notary Public in and for said State, personally appeared she, personally known to me or proved to me on the basis of satisfactory evidence to be the individual whose name subscribed to the within instrument and acknowledged to me that he/she executed the same in his/her capacity, and that by his/her signature on the instrument, the individual, or the person upon behalf of which the individual acted, executed the instrument. _________________________

RECEIPT AND REFUNDING AGREEMENT
The Trust dated April 17, 2003, as Amended and Restated The undersigned (“”), beneficiary of The Family Trust F/B/O dated April 17, 2003, as Amended and Restated (the “Trust”), hereby acknowledge receipt from The Edward Jones Trust Company (the “Trustee”), of all assets listed in Schedule A annexed hereto (less fees and costs of Trustee totaling $____ ), as the net proceeds due on account of the termination of the Trust per the August 12, 2015, Judgment and Order entered by the Probate Division of the Circuit Court of the County of St. Louis, State of Missouri (hereinafter referred to as the “Judgment and Order”).
states, to the best of her knowledge that:
• Charles Martin and Charlotte Davis were apportioned separate shares of The Martin Family Trust dated April 17, 2003 for their respective benefit, and that said separate shares were terminated by Reliance Bank, a successor trustee to Travelers Bank pursuant to Article VII under the Trust; (They do not know that.) (Most likely this was because under SC law it was a terminated to small unprofitable trust or that it was a trust under $100, 000.)
• On July 9, 2015 she executed a Release Agreement fully releasing Trustee its predecessors, successors, affiliates, related companies, employees, officers, directors, agents, attorneys, owners, partners, insurers and assigns, from any and all liability, claims, causes of action or damages, direct or indirect, in law or in equity, known and unknown, now or hereinafter arising from or relating to any matter involving the Trust.
See Release Agreement attached hereto as
Exhibit 1. agrees to refund and pay over to the Trustee such amounts as may be requested in writing by the Trustee to reimburse the Trust for any over-distribution to her or to satisfy her pro-rata portion of any debt of the Trust, any tax deficiency owed by the Trust to the Internal Revenue Service or to any state or other taxing authority (including all penalties and interest), any demand or claim presented by another beneficiary, creditor or other claimant of the Trust; however, her obligation to refund and pay over shall be limited to the amount of the distribution made by the Trustee to her.
warrants that she has the full right and power to receive said distribution, that no other person is interested therein, and has not sold, assigned, transferred or set over the same or any interest therein or any part thereof.
She acknowledges she is executing this Receipt and Refunding Agreement (the “Agreement”) with the intention that it be legally binding on her, her heirs, personal representatives and assigns. She reaffirms and incorporates by reference herein her release of Trustee, set forth in the Release Agreement attached hereto as Exhibit 1, and further agrees to indemnify, defend, and hold harmless Trustee, its predecessors, successors, affiliates, related companies, employees, officers, directors, agents, attorneys, owners, partners, insurers, and assigns of and from any and all claims, liabilities, damages, demands, lawsuits, costs, and expenses that Dorner may have had in the past, present or future, arising from, relating to, or otherwise challenging this Agreement, the Judgment and Order, or the amounts paid or due under this Agreement.
In the event that any third party brings a claim against Trustee arising from, relating to, or otherwise challenging this Agreement, the Judgment and Order, or the amounts paid or due under this Agreement, and that claim is substantially identical to a claim concurrently brought by the same third party against her,
She agrees to indemnify, defend, and hold harmless Trustee, only for such claims substantially identical to those brought against her.(This part is really strange) In this event, she shall have the choice of representation. Other than specifically mentioned above, She is not responsible for the actions or inactions or claims costs or attorney’s fees, brought by any other persons, legal entities or beneficiaries regardless of the validity of any such claim. (They have appointed themSselves judge and jury here)
Dated: _______________ by: ____________________________________ she, as beneficiary and sole permissible distribute of the Trust
STATE OF ) ) ss: COUNTY OF ) On the day of August, 2015, before me the undersigned, a Notary Public in and for said State, personally appeared she, personally known to me or proved to me on the basis of satisfactory evidence to be the individual whose name subscribed to the within instrument and acknowledged to me that he/she executed the same in his/her capacity, and that by his/her signature on the instrument, the individual, or the person upon behalf of which the individual acted, executed the instrument. _________________________

RECEIPT AND REFUNDING AGREEMENT
The Trust dated April 17, 2003, as Amended and Restated The undersigned (“”), beneficiary of The Family Trust F/B/O dated April 17, 2003, as Amended and Restated (the “Trust”), hereby acknowledge receipt from The Edward Jones Trust Company (the “Trustee”), of all assets listed in Schedule A annexed hereto (less fees and costs of Trustee totaling $____ ), as the net proceeds due on account of the termination of the Trust per the August 12, 2015, Judgment and Order entered by the Probate Division of the Circuit Court of the County of St. Louis, State of Missouri (hereinafter referred to as the “Judgment and Order”).
states, to the best of her knowledge that:
• Charles Martin and Charlotte Davis were apportioned separate shares of The Martin Family Trust dated April 17, 2003 for their respective benefit, and that said separate shares were terminated by Reliance Bank, a successor trustee to Travelers Bank pursuant to Article VII under the Trust; (They do not know that.) (Most likely this was because under SC law it was a terminated to small unprofitable trust or that it was a trust under $100, 000.)
• On July 9, 2015 she executed a Release Agreement fully releasing Trustee its predecessors, successors, affiliates, related companies, employees, officers, directors, agents, attorneys, owners, partners, insurers and assigns, from any and all liability, claims, causes of action or damages, direct or indirect, in law or in equity, known and unknown, now or hereinafter arising from or relating to any matter involving the Trust.
See Release Agreement attached hereto as
Exhibit 1. agrees to refund and pay over to the Trustee such amounts as may be requested in writing by the Trustee to reimburse the Trust for any over-distribution to her or to satisfy her pro-rata portion of any debt of the Trust, any tax deficiency owed by the Trust to the Internal Revenue Service or to any state or other taxing authority (including all penalties and interest), any demand or claim presented by another beneficiary, creditor or other claimant of the Trust; however, her obligation to refund and pay over shall be limited to the amount of the distribution made by the Trustee to her.
warrants that she has the full right and power to receive said distribution, that no other person is interested therein, and has not sold, assigned, transferred or set over the same or any interest therein or any part thereof.
She acknowledges she is executing this Receipt and Refunding Agreement (the “Agreement”) with the intention that it be legally binding on her, her heirs, personal representatives and assigns. She reaffirms and incorporates by reference herein her release of Trustee, set forth in the Release Agreement attached hereto as Exhibit 1, and further agrees to indemnify, defend, and hold harmless Trustee, its predecessors, successors, affiliates, related companies, employees, officers, directors, agents, attorneys, owners, partners, insurers, and assigns of and from any and all claims, liabilities, damages, demands, lawsuits, costs, and expenses that Dorner may have had in the past, present or future, arising from, relating to, or otherwise challenging this Agreement, the Judgment and Order, or the amounts paid or due under this Agreement.
In the event that any third party brings a claim against Trustee arising from, relating to, or otherwise challenging this Agreement, the Judgment and Order, or the amounts paid or due under this Agreement, and that claim is substantially identical to a claim concurrently brought by the same third party against her,
She agrees to indemnify, defend, and hold harmless Trustee, only for such claims substantially identical to those brought against her.(This part is really strange) In this event, she shall have the choice of representation. Other than specifically mentioned above, She is not responsible for the actions or inactions or claims costs or attorney’s fees, brought by any other persons, legal entities or beneficiaries regardless of the validity of any such claim. (They have appointed themSselves judge and jury here)
Dated: _______________ by: ____________________________________ she, as beneficiary and sole permissible distribute of the Trust
STATE OF ) ) ss: COUNTY OF ) On the day of August, 2015, before me the undersigned, a Notary Public in and for said State, personally appeared she, personally known to me or proved to me on the basis of satisfactory evidence to be the individual whose name subscribed to the within instrument and acknowledged to me that he/she executed the same in his/her capacity, and that by his/her signature on the instrument, the individual, or the person upon behalf of which the individual acted, executed the instrument. _________________________

RECEIPT AND REFUNDING AGREEMENT
The Trust dated April 17, 2003, as Amended and Restated The undersigned (“”), beneficiary of The Family Trust F/B/O dated April 17, 2003, as Amended and Restated (the “Trust”), hereby acknowledge receipt from The Edward Jones Trust Company (the “Trustee”), of all assets listed in Schedule A annexed hereto (less fees and costs of Trustee totaling $____ ), as the net proceeds due on account of the termination of the Trust per the August 12, 2015, Judgment and Order entered by the Probate Division of the Circuit Court of the County of St. Louis, State of Missouri (hereinafter referred to as the “Judgment and Order”).
states, to the best of her knowledge that:
• Charles Martin and Charlotte Davis were apportioned separate shares of The Martin Family Trust dated April 17, 2003 for their respective benefit, and that said separate shares were terminated by Reliance Bank, a successor trustee to Travelers Bank pursuant to Article VII under the Trust; (They do not know that.) (Most likely this was because under SC law it was a terminated to small unprofitable trust or that it was a trust under $100, 000.)
• On July 9, 2015 she executed a Release Agreement fully releasing Trustee its predecessors, successors, affiliates, related companies, employees, officers, directors, agents, attorneys, owners, partners, insurers and assigns, from any and all liability, claims, causes of action or damages, direct or indirect, in law or in equity, known and unknown, now or hereinafter arising from or relating to any matter involving the Trust.
See Release Agreement attached hereto as
Exhibit 1. agrees to refund and pay over to the Trustee such amounts as may be requested in writing by the Trustee to reimburse the Trust for any over-distribution to her or to satisfy her pro-rata portion of any debt of the Trust, any tax deficiency owed by the Trust to the Internal Revenue Service or to any state or other taxing authority (including all penalties and interest), any demand or claim presented by another beneficiary, creditor or other claimant of the Trust; however, her obligation to refund and pay over shall be limited to the amount of the distribution made by the Trustee to her.
warrants that she has the full right and power to receive said distribution, that no other person is interested therein, and has not sold, assigned, transferred or set over the same or any interest therein or any part thereof.
She acknowledges she is executing this Receipt and Refunding Agreement (the “Agreement”) with the intention that it be legally binding on her, her heirs, personal representatives and assigns. She reaffirms and incorporates by reference herein her release of Trustee, set forth in the Release Agreement attached hereto as Exhibit 1, and further agrees to indemnify, defend, and hold harmless Trustee, its predecessors, successors, affiliates, related companies, employees, officers, directors, agents, attorneys, owners, partners, insurers, and assigns of and from any and all claims, liabilities, damages, demands, lawsuits, costs, and expenses that Dorner may have had in the past, present or future, arising from, relating to, or otherwise challenging this Agreement, the Judgment and Order, or the amounts paid or due under this Agreement.
In the event that any third party brings a claim against Trustee arising from, relating to, or otherwise challenging this Agreement, the Judgment and Order, or the amounts paid or due under this Agreement, and that claim is substantially identical to a claim concurrently brought by the same third party against her,
She agrees to indemnify, defend, and hold harmless Trustee, only for such claims substantially identical to those brought against her.(This part is really strange) In this event, she shall have the choice of representation. Other than specifically mentioned above, She is not responsible for the actions or inactions or claims costs or attorney’s fees, brought by any other persons, legal entities or beneficiaries regardless of the validity of any such claim. (They have appointed themSselves judge and jury here)
Dated: _______________ by: ____________________________________ she, as beneficiary and sole permissible distribute of the Trust
STATE OF ) ) ss: COUNTY OF ) On the day of August, 2015, before me the undersigned, a Notary Public in and for said State, personally appeared she, personally known to me or proved to me on the basis of satisfactory evidence to be the individual whose name subscribed to the within instrument and acknowledged to me that he/she executed the same in his/her capacity, and that by his/her signature on the instrument, the individual, or the person upon behalf of which the individual acted, executed the instrument. _________________________

RECEIPT AND REFUNDING AGREEMENT
The Trust dated April 17, 2003, as Amended and Restated The undersigned (“”), beneficiary of The Family Trust F/B/O dated April 17, 2003, as Amended and Restated (the “Trust”), hereby acknowledge receipt from The Edward Jones Trust Company (the “Trustee”), of all assets listed in Schedule A annexed hereto (less fees and costs of Trustee totaling $____ ), as the net proceeds due on account of the termination of the Trust per the August 12, 2015, Judgment and Order entered by the Probate Division of the Circuit Court of the County of St. Louis, State of Missouri (hereinafter referred to as the “Judgment and Order”).
states, to the best of her knowledge that:
• Charles Martin and Charlotte Davis were apportioned separate shares of The Martin Family Trust dated April 17, 2003 for their respective benefit, and that said separate shares were terminated by Reliance Bank, a successor trustee to Travelers Bank pursuant to Article VII under the Trust; (They do not know that.) (Most likely this was because under SC law it was a terminated to small unprofitable trust or that it was a trust under $100, 000.)
• On July 9, 2015 she executed a Release Agreement fully releasing Trustee its predecessors, successors, affiliates, related companies, employees, officers, directors, agents, attorneys, owners, partners, insurers and assigns, from any and all liability, claims, causes of action or damages, direct or indirect, in law or in equity, known and unknown, now or hereinafter arising from or relating to any matter involving the Trust.
See Release Agreement attached hereto as
Exhibit 1. agrees to refund and pay over to the Trustee such amounts as may be requested in writing by the Trustee to reimburse the Trust for any over-distribution to her or to satisfy her pro-rata portion of any debt of the Trust, any tax deficiency owed by the Trust to the Internal Revenue Service or to any state or other taxing authority (including all penalties and interest), any demand or claim presented by another beneficiary, creditor or other claimant of the Trust; however, her obligation to refund and pay over shall be limited to the amount of the distribution made by the Trustee to her.
warrants that she has the full right and power to receive said distribution, that no other person is interested therein, and has not sold, assigned, transferred or set over the same or any interest therein or any part thereof.
She acknowledges she is executing this Receipt and Refunding Agreement (the “Agreement”) with the intention that it be legally binding on her, her heirs, personal representatives and assigns. She reaffirms and incorporates by reference herein her release of Trustee, set forth in the Release Agreement attached hereto as Exhibit 1, and further agrees to indemnify, defend, and hold harmless Trustee, its predecessors, successors, affiliates, related companies, employees, officers, directors, agents, attorneys, owners, partners, insurers, and assigns of and from any and all claims, liabilities, damages, demands, lawsuits, costs, and expenses that she may have had in the past, present or future, arising from, relating to, or otherwise challenging this Agreement, the Judgment and Order, or the amounts paid or due under this Agreement.
In the event that any third party brings a claim against Trustee arising from, relating to, or otherwise challenging this Agreement, the Judgment and Order, or the amounts paid or due under this Agreement, and that claim is substantially identical to a claim concurrently brought by the same third party against her,
She agrees to indemnify, defend, and hold harmless Trustee, only for such claims substantially identical to those brought against her.(This part is really strange) In this event, she shall have the choice of representation. Other than specifically mentioned above, She is not responsible for the actions or inactions or claims costs or attorney’s fees, brought by any other persons, legal entities or beneficiaries regardless of the validity of any such claim. (They have appointed themselves judge and jury here)
Dated: _______________ by: ____________________________________ she, as beneficiary and sole permissible distribute of the Trust
STATE OF ) ) ss: COUNTY OF ) On the day of August, 2015, before me the undersigned, a Notary Public in and for said State, personally appeared she, personally known to me or proved to me on the basis of satisfactory evidence to be the individual whose name subscribed to the within instrument and acknowledged to me that he/she executed the same in his/her capacity, and that by his/her signature on the instrument, the individual, or the person upon behalf of which the individual acted, executed the instrument. _________________________
This is commerce bank.

Read full complaint
Hide full review
ComplaintsBoard
J
11:41 pm UTC
Resolved
The complaint has been investigated and resolved to the customer’s satisfaction.

Edward Jones best interest of client

My husband and I invested our inheritance and retirement accounts with Edward Jones when we moved to Chapel Hill, N.C. in 1997. Jerry Bergner was our investment counselor. My husband had dementia (he passed away in 2002) and I was not well-versed in financial matters, including understanding budgeting. Because my husband was not able to help me in many different aspects of our lives, especially financial, I had to rely on Jerry to go over budget details with me. We moved to Florida in 2000 to escape the escalating taxes in Chapel Hill and all of my conversations with Jerry were over the phone. At one point he told me he "really didn't like doing this" . I was also helping my stepson pay for therapy since he had been in a horrific accident in which a young man ran headlong into his truck. Jeff's back was very traumatized and his insurance for the therapy ran out after a year. His payments were $1500 a month plus helping him with his living expenses. Through all of this I have Chronic Fatigue and am working full-time plus dealing with a husband who has dementia and needs someone with him whenever I left the house. Jerry kept telling me that I could only have a 6% cash outgo but he did not help me draw hard lines on where to cut the expenses. He said that if I kept outlaying this kind of money I would "end up in an apartement". I told him I did not know what else to do. Finally he told me that "if it were his family he would probably do the same thing" He could have at least suggested that Jeff could apply for disability, something that I never really thought of. I had talked with another financial advisor in Florida who said he would "help me stop the leak" so I talked with Jerry about the prospectus this advisor sent me. Jerry became quite irritated and told me that "my portfolio is balanced and not-over invested in stocks as the other financial advisor was suggesting and no, he did not need to read the prospectus." The more conservative advisor wanted to talk with me about annuities and when I mentioned this to Jerry he told me that "annuities can be tricky" which further discouraged me from using this advisor.

From what Jerry was telling me, I apparently had no other alternative to paying out so much money every month for Jeff's expenses other than to quit sending Jeff the money altogether. When 9/11 happened, we lost $100, 000 and needless to say, I have no investments left because Jerry would not help me figure out what to do about helping out Jeff other than to stop helping him. I called a law office, Meyer-Wilson, who helped other Edward Jones clients recoup money that was misdirected from mutual funds. They told me that I very well could have had a law suit against Edward Jones because it is "incumbent upon the company to act in the best interest of the client" which obviously is not what Mr. Bergner did. When I sent a complaint in to Edward Jones, I received this "cover our ###" letter from the complaint department lady saying that Jerry did nothing wrong, blah, blah, blah.

The Meyer-Wilson lawyer told me that Edward Jones is saved from a lawsuit against them because it is now "time-barred' since it has been over 6 years since the incident (2001). I truly wish I had followed my own instinct and transferred my investments to the financial advisor who was going to help me "stop the leak" instead of being intimidated by Mr. Bergner's misguided advice.

I am also sending a copy of this to Edward Jones Corporate Offices. Ought to be interesting to see what type of cover-up letter they send.

Read full complaint and 4 comments
Resolved

The complaint has been investigated and resolved to the customer’s satisfaction.

Hide full review
4 comments
Add a comment
B
B
Brenda J
Edwardsville, US
Send a message
Nov 30, 2014 7:36 pm UTC

This person sounds bitter because the market dropped and said she should have listened to the more conservative person wanting to sell her annuity. Since the annuity pays a great commission I'm sure that's why the person was trying to sell it. Plus since the annuity has expenses that are more than twice as much as the mutual funds the value would have not only dropped but would have dropped faster. I find it funny when people spend all their money then try to blame it on the people that tried to help

P
P
PattyA
Everett, US
Send a message
Jun 25, 2014 9:10 am UTC

I recently transferred a $100 stock account from Edward Jones to a new financial institution. The stock had been with Edward Jones for 14 years and in that time had gained $23 in value. In the transfer process Edward Jones charged a $95 transfer fee leaving me with a balance of $34. My financial adviser contacted them and requested the charge to be reversed and they refused. Do not use Edward Jones.

F
F
Fred314
Norfolk, US
Send a message
Jun 25, 2014 7:30 pm UTC

Now you know why you don't bother to transfer $100. I didn't know it was possible to invest just $100 in real stock?

T
T
Thinking_human
Lowell, US
Send a message
Jun 25, 2014 2:59 pm UTC

It sound like Edward Jones cut you a break. $100 in stock plus a whopping $23 gain (over fourteen years) minus the $95 transfer fee should have left you with only $28. Since you received $34, that's another 20% gain! You'll be dining with Bill Gates before you know it.

ComplaintsBoard
R
6:38 pm UTC
Resolved
The complaint has been investigated and resolved to the customer’s satisfaction.

Edward Jones terrible business practices

On about four different occassions agent Greg Smith has called my home trying to get me to move the money from my inherited account (a non-Edward Jones fund). He uses all sorts of tactics including false statements of fact and saying that my tax attorney and the rep from the fund do not know what they are talking about, he speaks to me as if I am ignorant and tries to bully me into doing what he requests. He is argumentative and rude and continues to call even though I have repeatedly asked him to stop and have been very upfront about not wanting to make any changes (not that I could without serious tax implications). I fortunately deal with the fund directly for any transactions or account changes I need but they still require a third party such as Edward Jones to be listed in their system as "manager" of the account. This is the second highly unprofessional agent I have had to deal with from Edward Jones so I am reluctant to try yet a third one and there are no other financial advisors in my area that handle this particular fund, I'm hoping he took my request seriously and no longer tries to contact me. I have even told this gentleman point blank that I take him as very rude and that he needs to change his tone when speaking to me--I am his customer after all and it is him that is calling me, I have never once contacted him. He leaves messages every day if I don't answer his calls. Next time I may just have to file a harassment complaint he is seriously that rude.

Read full complaint
Resolved

The complaint has been investigated and resolved to the customer’s satisfaction.

Hide full review
ComplaintsBoard
R
12:24 am UTC
Resolved
The complaint has been investigated and resolved to the customer’s satisfaction.

Edward Jones investment advice

Please, please, anyone thinking of using Edward Jones for investments, don't!

They lost me a lot, I am luckier than most of the people who have complained. I still have a lot. I got out of there in time. I gave them 2 1/2 years, and not one of the suggested investments came out positive. Fortunately the stocks I made the brokers buy were good, and offset my loses.

Now I see the EJ brokers are pushing Payday loans. Not at all surprised.

Read full complaint
Resolved

The complaint has been investigated and resolved to the customer’s satisfaction.

Hide full review
ComplaintsBoard
T
8:06 pm UTC
Resolved
The complaint has been investigated and resolved to the customer’s satisfaction.

Edward Jones lost money without be told

alot of money, five years, alot of money gone, wife`s step father can do much about it because of family, but no phone calls about the money thought he was called an advisor. someone needs to check into this guy something isn`t right.

Read full complaint and 1 comment
Resolved

The complaint has been investigated and resolved to the customer’s satisfaction.

Hide full review
1 comment
Add a comment
C
C
CommonsenseIMHO1
Tampa, US
Send a message
May 23, 2012 8:07 pm UTC
Verified customer This complaint was posted by a verified customer. Learn more

Edward Jones! LOL

ComplaintsBoard
J
11:32 pm UTC
Verified customer This complaint was posted by a verified customer. Learn more

Edward Jones lousy investment company

Edward Jones, scam, horrible service, lost me alot of money. I have personally dealt with this company, and let me tell you, if you have any sense, do not let these rip offs handle your funds. Their only concern of course is making money for themselves, regardless of how much you lose. They will tell you they are in business to help you and will get you to buy into any bogus idea they can sell you. You and I live in the real world, businesses are in business for themselves and to make their fat, greedy, wallets bigger. Well, I learned the hard way, I lost all of my money while they got richer. PLEASE, take it from me, do not invest your money in this company, you will end up with NOTHING!

Read full complaint and 2 comments
Hide full review
2 comments
Add a comment
B
B
Brenda J
Edwardsville, US
Send a message
Nov 30, 2014 7:54 pm UTC

These two complaints have to be made by people that have lost their minds. Especially the guy talking about the expenses he paid. This is a total lie and not even possible. He is either lying or has Edward Jones confused with some other company. If anyone researches investment companies Edward Jones is the most reputable one in the industry. I worked as an auditor for a state agency that does checks on offices and there are some horrible companies out there but Edward Jones is not one of them.

P
P
plumbpicker
US
Send a message
Feb 06, 2012 5:39 pm UTC

I dealt with those ripoff artists for many years only to find out about the hidden costs far exceeded what we were led to believe it would cost my wife and I for them to administer our porfolio. It turned out that we were taking all the risks and no matter what Edward Jones made money as they enjoy an outrageous % of our account win or loose. When we became involved with Edward Jones we understood that we were charged 1% to handle our account but what a surprise when we found out recently we were charged an anual fee of 3.5 to 4.5 % anually and we do not even get a paper trail for these costs and could not use the loss for tax purpose.Those fees are based on your total portfolio's value These guys talk in a language of their own and even a lawyer has difficulty undestanding it. When we ask a question relating to cost they just seem to dance around until they change the subject and we are totally confused and realize that we never got an answer until much later after the conversation has ended. On the onset they say that we should take the low load way of investment as it is much cheaper but fail to tell you about the annual costs . By the way when we first went with this company, the agent was saying (LOW LOW) in lieu of (LOW LOAD) it sounds much the same but the meaning of the word is very deceiving. Also if you look at your investments online there is an amount that is added to your net worth that does not belong to you only to confuse you more and you only find out when you leave E.J. When discussing your portfolio that amount is included in your net worth further deceiving you in believing you have more money than you do.They even bought us bonds in a US company that can be sold only by E.J. what kind of business is that, we can't even sell them ourselves. By the way I recently terminated E.J. and went with another investment firm with much much more integrity.

ComplaintsBoard
A
11:16 am UTC
Resolved
The complaint has been investigated and resolved to the customer’s satisfaction.

Edward Jones elder abuse misuse of funds embezzlement

Shane Jennings, Investment Representative/Thief- Has misused, mishandled, and embezzled money from my elderly mother. He has taken it upon himself to fire her attorney as soon as all funds were transferred into her account after my fathers death. This man is a crook, who has declared bankruptcy back in 2005... Who would want a man who is financially bankrupt to handle their finances? This man needs to be dealt with by law enforcement and his license pulled while he spends time behind bars. Elder abuse is the worst crime our society is facing today, please help capture these crooks like Shane and get them off the streets! Always Watching! Days are Numbered!

Read full complaint and 3 comments
Resolved

The complaint has been investigated and resolved to the customer’s satisfaction.

Hide full review
3 comments
Add a comment
A
A
Always seeking the truth
Pune, IN
Send a message
Apr 30, 2012 12:12 pm UTC

Edward Jones
Abilene, Texas
United States
Phone: [protected]

A
A
Always seeking the truth
Pune, IN
Send a message
Apr 30, 2012 12:11 pm UTC

Shane Jennings, Investment Representative Sells vast amounts of valuable stock holdings without permission of elderly investor-watch out for this one! Way out of his league.

A
A
Always seeking the truth
Pune, IN
Send a message
Apr 30, 2012 12:10 pm UTC

Sells vast amounts of valuable stock holdings without permission of elderly investor-watch out for this one! Way out of his league.

ComplaintsBoard
T
8:05 pm UTC
Resolved
The complaint has been investigated and resolved to the customer’s satisfaction.

Edward Jones incompetency

I had used these guys for many years, and as I was approaching retirement, I wanted to consolodate my holdings. I asked Edward Jones for assistance and they were most helpful; however, for one account, they sent the paper work to the wrong address, which caused a significant delay and cost me nearly $5, 000. When confronted with this, their response was: 'not our problem...' I suggest using another firm. (they did offer to provide me with the information to go to arbitration, but it never arrived.)

Read full complaint
Resolved

The complaint has been investigated and resolved to the customer’s satisfaction.

Hide full review
ComplaintsBoard
S
2:50 am UTC
Resolved
The complaint has been investigated and resolved to the customer’s satisfaction.

Edward Jones dishonest - self serving advisor

My complaint to the complaint department email was rejected and sent back - scam artists..

Complaints Department
Edward Jones
Canada

To whom it may concern:

I have a complaint to raise regarding the misappropriation and improper financial investments made for a couple in there 80s by your office in Yorkton Saskatchewan .

Linda Ouart has persuaded my elderly folks to invest 1/10 of their money and life savings into a back end purchase of mutual funds that have lost 4000.00 in the last 4 weeks.I have since had a Attorney
draft a Power of Attorney document and filed it to the Yorkton Office. I was inspired to become the POA because Linda Ouart has acted in bad faith and is a person of questionable morals who has undoubtedly
received substantially higher commissions - then if she would have offered sound financial advice .

I have conversed 3 weeks ago - with Linda and asked her to move the funds to a Manulife money market fund - as a investment parking lot - until the down-swing in the TSX stabilizes - due to the unrest in Europe and the USA.
I was told - Why do you watch the news - dont believe everything you see on the news "
I did work to keep the money at Edward Jones after a brief visit to her office - ( from a pending transfer to CIBC) as I was allowed to see the full portfolio held there by my parents. I did review the investment market risk - per manulife mutual investment and determined that in the interim I would instruct my parents to leave the funds at Edward Jones...

After that brief Visit to see Linda - a down turn in the TSX prompted me to call her to request the funds be moved to a money market fund - she was quite discontent with this idea -( I have saved the unanswered emails I sent her with this request, prior to my phone call finally being answered.) As a result of that conversation I was hung up on - My Parents tried to call her back as they were appalled at her tone and severe lack of professionalism - Linda did not answer their immediate return calls- voice mail recordings were all my Parents were able to achieve.

Either way - I question weather or not Edward Jones operates with any Corporate Governance that states that the Office Representatives of the investment firm should act in good faith to meet the needs of their clients, and utilize a professional
demeanor when working with its clients. - That perhaps maybe some internal regulations restrict representatives from looking out for themselves and obtaining larger commissions from offering and selling poor advice to non suspecting elderly
clients, in this case, well beyond their retirement ages.

Essentially Linda Ouart is stalling on allowing me to be the POA for my folks - so that I can not make the changes needed to protect their investments - She is at a loss with her rational and is evading contacting myself - she has her office assistant
email myself occasionally with emails such as the one attached to this complaint. I see them as stall tactics and can no longer accept this type of relationship with your investment firm .

I will instruct my parents not to place any more funds into accounts with Edward Jones at this time. I may elect to move these existing funds from Edward Jones, Yorkton office in Saskatchewan, within the next week if this complaint is not processed and proper action taken to mitigate the damage done by Linda Ouart.

( I am not without resources and feel that, first - I will take this to your complaint department . )

Thank you for your cooperation in looking into this matter, and I look to your timely email response .

Todd Thompson
[protected]@yahoo.com
[protected] cell

Read full complaint and 1 comment
Resolved

The complaint has been investigated and resolved to the customer’s satisfaction.

Hide full review
1 comment
Add a comment
F
F
fingers22
Saskatoon, CA
Send a message
Oct 14, 2011 4:06 am UTC

I had dealings with this woman too - I backed out b4 I lost money - to bad she is still screwing people

ComplaintsBoard
S
9:55 pm UTC
Resolved
The complaint has been investigated and resolved to the customer’s satisfaction.

Edward Jones forged document accepted

Investments cashed in by edward jones agent jim ward because he accepted a proven forged document without any knowledge of account holder. After abundance of phone calls, letters to both plano, il. Office and corporate office - no results!

Read full complaint and 1 comment
Update by Sheila J
Aug 16, 2011 9:57 pm UTC

Complaints are right on the money - poor excuse for an investment firm!

Resolved

The complaint has been investigated and resolved to the customer’s satisfaction.

Hide full review
1 comment
Add a comment
D
D
DeShauna01
US
Send a message
Jan 23, 2015 9:50 am UTC

I have been battling with Edward Jones for some time now. The financial advisor over my grandmothers estate blatantly lied to me about being the beneficiary on an annuity. Then allowed another family member to forge my name and deposit my annuity checks into their own personal E.J. account. After questioning the advisor for years about the matter he finally grew a conscious yet still lied about the amount of the annuity. He then went on to explain that he would prefer I work the matter out on non legal terms with my uncle so that he would not be penalized. After contacting corporate I was told that the matter was not their matter to fight and that they were not responsible for any fraudulent activity. Theyrefused to take responsibility for their unethical practices and misconduct. Me being ill and in dire need of my funds have had to retain an attorney because they see no wrong doing on their part. This financial institution should not be allowed to continuously disregard their misdealings and should be severely penalized misrepresentation, fraud and forgery. They have become overrun by power and greed and in my opinion they are not to be trusted.

ComplaintsBoard
G
1:15 pm UTC

Edward Jones poor service, raped with fees

We moved all of our investments to Edward Jones after dissatisfaction with our original broker. We had lengthy discussions about how we were looking for someone who would pay attention to our investments and keep us informed when and what to buy/sell and have a hands on approach. I work offshore and don't have time to deal with this. I do understand the processes though and can participate in and understand the advice.

First they did not want to use email, which should have been my first clue. I tried to set up meetings but they were too busy to accommodate my busy schedule; never working outside of the fixed box of time.

Finally tired of being ignored, we transferred all of our investments out. Now comes the worst part. All of the investments are in "Edward Jones" name and they have to sell them to move them, with a 5% minimum commission on everything. This was thousands of dollars.

Pros:
Nice tie and detailed reports when they bother to produce them

Cons:
They put your money in THEIR name! 5% or $50 on EVERYTHING they sell of yours. Once you are in, you are trapped as leaving will cost you BIG.

They never paid any attention to our investments, called except to try and sell an issue. Sometimes we wouldn't hear for over a year! I would lose track of time and trusted them to keep me informed; foolish I know. But they did agree to provide this service.

Read full complaint and 4 comments
Hide full review
4 comments
Add a comment
M
M
Mistreatment of trust
Pikeville, US
Send a message
Aug 25, 2015 5:36 pm UTC
Verified customer This complaint was posted by a verified customer. Learn more

Edward Jones will not let go of trust that is losing money like a sieve. They are not following court order to let this go without more signing of release that are nutty and dangerous at this point. They are acting as bullies. Lost me 27, 000. at this point and want to take another about 7, 000.00 out of the account to pay their attorneys. The account is now at 76, 000. I am attaching some of the documents. Any advice from others is welcome

View 0 more photos
G
G
Gruntled88
Port Alberni, CA
Send a message
Mar 26, 2011 3:20 am UTC
Verified customer This complaint was posted by a verified customer. Learn more

We moved all of our investments to Edward Jones after dissatisfaction with our original broker. We had lengthy discussions about how we were looking for someone who would pay attention to our investments and keep us informed when and what to buy/sell and have a hands on approach. I work offshore and don't have time to deal with this. I do understand the processes though and can participate in and understand the advice.

First they did not want to use email, which should have been my first clue. I tried to set up meetings but they were too busy to accommodate my busy schedule; never working outside of the fixed box of time.

Finally tired of being ignored, we transferred all of our investments out. Now comes the worst part. All of the investments are in "Edward Jones" name and they have to sell them to move them, with a 5% minimum commission on everything. This was thousands of dollars.

Pros:
Nice tie and detailed reports when they bother to produce them

Cons:
They put your money in THEIR name! 5% or $50 on EVERYTHING they sell of yours. Once you are in, you are trapped as leaving will cost you BIG.

They never paid any attention to our investments, called except to try and sell an issue. Sometimes we wouldn't hear for over a year! I would lose track of time and trusted them to keep me informed; foolish I know. But they did agree to provide this service.

D
D
Disastified in Valencia
Atlanta, US
Send a message
Dec 06, 2011 9:49 pm UTC
Verified customer This complaint was posted by a verified customer. Learn more

BEWARE ... The lack of attention for the $40 annual 'service fee' is not worth it ... and hold on to your wallet ANYTIME you want to make a change, move funds, etc ... averages $95 a pop unless you're storing $500, 000 with them! OUCH. I will take my lumps and get away from Edward Jones as quick as I can. Lesson learned!

C
C
Curtain Raiser
Riverside, US
Send a message
May 19, 2011 5:49 pm UTC

Tips from a happily EX EJ stockbroker: 1.) EJ is a full commission biz-they charge for practically everything whether or not YOU benefit (EJ is not alone in this custom; the traditional wirehouse Wall Street firms all do this. 2.) when you ever ask a broker to "watch" your stuff, what do you really mean? Bird-dog them? Babysit them? From day 1, the poor sap "advisor" must get out & sell, sell, sell, or get fired. When will they ever have or take time to "watch" someone's stuff? Never or rarely. 3.) what does one mean by "hand-on"? Returning calls? I'm always amazed that average investors (like me) commonly mistake "active trading and selling" as productive when all that's happening is market timing (blah), stock-picking (sheer gambling) and past performance tracking (rear-view mirror driving). Give yourself a much needed break. Read "The Investment Answer" - Goldie/Murray, and get off the Investor Nightmare Highway.

ComplaintsBoard
S
10:18 am UTC
Resolved
The complaint has been investigated and resolved to the customer’s satisfaction.

Edward Jones arrogance, fraud and elder abuse

The broker was given a power of attorney protecting an elder that is not able to make sound financial decisions and it took hell and high water to get her to recognize it.

Rather than respect the POA as she's supposed to according to Florida law, she fought the family tooth and nail until they went to the Florida State Attorney General's Elder Abuse Department.

Move your money to Scottrade or Etrade but get your money out of Edward Jones.

Read full complaint and 3 comments
Resolved

The complaint has been investigated and resolved to the customer’s satisfaction.

Hide full review
3 comments
Add a comment
F
F
601615ford
Woodbury, US
Send a message
Aug 21, 2011 9:17 pm UTC

My complaint is more of a compliment than anything. I would like to complain that I am so disappointed that I did not hear about Patrick Growe sooner. He has been a big blessing to me and my family and sincerely trust him with my money

J
J
junkfree here
Elizabethtown, US
Send a message
Jun 08, 2011 12:25 am UTC

You would not believe the man that is suppose to be a CFP in that office, I go in the invet and he hits on me and stares at my chest then ask if he can call me for drinks. He explains that he makes alot of money and he can do alot for me if i knew what he meant...how obnoxious, i left immediately.

B
B
Brenda J
Edwardsville, US
Send a message
Nov 30, 2014 7:59 pm UTC

Reading these complaints on Edward Jones convinces me they are all created by competitors trying to create doubt in people's minds. There is no way a Edward Jones employee can have POA for anyone except for their own parent, child or spouse. This is a total false review

ComplaintsBoard
T
12:02 am UTC
Resolved
The complaint has been investigated and resolved to the customer’s satisfaction.

Edward Jones illegal & unethical practices

Edward Jones Company has more crooks on their payroll than the mob. You name it, they do it: churning, negligence, breach of fiduciary duty, misrepresentation, failure to supervise employees, and fraudulent actions to deprive payments. I am currently halfway finished with my extensive narrative on the abuses I have sustained by mistakenly trusting this band of con artists. They have raped me repeatedly, but I refuse to go down in flames without taking some of them with me! The final retribution will be mine, and I will have the last laugh! Caveat Emptor investors, dismiss my warning at your own financial peril.

Read full complaint and 1 comment
Resolved

The complaint has been investigated and resolved to the customer’s satisfaction.

Hide full review
1 comment
Add a comment
T
T
thetrix
Madison Heights, US
Send a message
Sep 16, 2013 12:40 am UTC

3 years ago, an EJ agent persuaded me to rollover funds into some "A" shares. He did this after I repeatedly emphasized that the
firm I was currently with, screwed me over and I lost a lot of $. I was very insistent that I wanted to be low on the risk scale and did
not want heavy fees. He turned right around and put me into 5 different "A" share funds, but neglected to tell me there
was an upfront load fee of 4.5% for each share. When I went online to check my funds, there was $1300.00 missing, which were the fees. When I called him, he handed me a line that he didn't realize I was unaeare of the load fees.
1 year later, this agent is no longer with EJ, [I wonder why] and my funds got transferred over to another office with another agent who was a bigger gouger than the first. For 2 more years, I stayed with EJ and I did get the load fees plus a little gain. I recently retired, and was going to roll my work related 403b into these EJ funds because they were doing OK. Well, guess what? Any "NEW" money that is put into an existing fund with EJ, pays ANOTHER load fee. Of course, again, this newer agent neglected to tell me that until AFTER we
did the rollover transaction. These fees were $2700.00. I told him there was no way I was doing that, and he suggested I leave the money with his firm until I decided where to put it. The joke was on him. I called the other firm that my work related funds were with and I stopped the transaction dead in its tracks. Then I emailed him and told him I did not trust him. Haven't heard from him since. What a SCAMMER! All he was interested in was getting that $2700.00 fee. I want to report him, because he was not upfront with me...I had to ask him 3 times, how much the load fees were. He kept changing the subject until I got in his face.

ComplaintsBoard
W
4:24 pm UTC
Resolved
The complaint has been investigated and resolved to the customer’s satisfaction.

Edward Jones misrepresenation

John Cravens of the Laguna Hils office does a poor job. Not monitoring every clients account and not communicating with them daily. No response from customer service from main Edward Jones office. I asked to close my account and they failed to respond and continued to withdraw funds from my bank. I asked to end it before and they ignored my message. Please investigate since there will be other victims.

Read full complaint and 2 comments
Resolved

The complaint has been investigated and resolved to the customer’s satisfaction.

Hide full review
2 comments
Add a comment
S
S
SpeculatingWisely
Granby, CA
Send a message
Oct 01, 2011 10:50 am UTC

As far as risk is concerned, you need to predetermine the AMOUNT of money that you are willing to risk before you call it quits . As an EXAMPLE : Ifyou have $100 000.00 and you PREDETERMINE a 7% to 8% risk, then if the account drops to $92 000.00 to $93 0000.00 you SELL and your position becomes flat !

OR you can use a certain amount of money as insurance by hedging through the use of derivatives .

If a good financial advisor knows what he's/she's doing then they don't need to keep on finding new clients . The advisor will make enough profit in commissions based on profitable returns for their clients through well managed positions taken in the market cycles . You just need a good client base . And if you're good, those clients will stick with you for a lifetime ...

When you start running into unattended conflicts with financial advisors as the person who is complaining above, you need to get a lawyer involved . Don't wait until things get out of hand . The moment you feel that you're being neglected(unanswered), get the law involved .

C
C
Curtain Raiser
Riverside, US
Send a message
May 19, 2011 5:26 pm UTC

This always made me laugh. Advisor says, "We'll be looking at your investments to make sure all's well". Bal-a-oney! As a happily EX EJ stockbroker, let me give you a tip on reality. From day #1, the poor sap "advisor" must get out and sell, sell, sell, or face getting fired for not meeting ever rising profit performance (how'd ya think they paid for those cute offices and even cuter assistants?). If you so-called 'advisor ever tells you the "We're watching your stuff..." baloney, run away, fast, after he responds to your question, "What, exactly, are you watching?!" Get ready for the soft-shoe, mind-numbing drivel that's coming. It's widely known, but never, ever disclosed that less than 5% of all so-called "advisors" know the first real thing about prudent investing. Has anyone ever questioned those stupid "Risk Tolerance" questions they ask? What BULL. Does anyone even know the true ramifications of a 40% drop in asset values, or can the average mind fathom what or how it'll feel and doo if this happens?!? Come on, now...

ComplaintsBoard
K
11:45 am UTC

Edward Jones stay away

Broker summoned me to his office under false pretenses saying he had "a couple of recommendatins for me" on September 3rd, one day after I was in his office with my mother and brother who were transacting business. Mr. Kedley approched me in a threatening manner to say I was not longer welcome in his office and that I had gone to "inappropriate areas of his office" the day before. I was at a total loss and could not understand. He said he saw me crouching down behind his front desk. I was with my mother and brother and asked only to the secretary "what is the market doing" she said, "let's look" I was not behind the desk at all. Mr. Kedley kept saying I saw what I saw. I said you are wrong Jerry and are making a mistake. I can't believe that someone who holds a brokers license and is managing my money for over 5 years would act in such a disoriented way. He seemed wild and almost scary in his approach to me. I just want him to be notified of his unprofessional behavior and that I would like to transfer my funds without a problem or more hostility from him.

Read full complaint and 2 comments
Hide full review
2 comments
Add a comment
E
E
eli5
US
Send a message
Feb 08, 2011 8:12 pm UTC
Verified customer This complaint was posted by a verified customer. Learn more

Please disregard the comment above that I just made.I posted it in the wrong section. Sorry

E
E
eli5
US
Send a message
Feb 08, 2011 7:57 pm UTC
Verified customer This complaint was posted by a verified customer. Learn more

Well they closed the account and charged a $200 or $250 fee to review the death certicate and set up the accounts for us as beneficiries. My brother is getting the statements and doesnt understand how to read them.
I called the boker and he was out, but his assistand said that that their trust department charges for having to split it into accounts for the heirs. I guess they will probably charge another fee to close out the account they just opened for all of us too. This is crazy since I had other accounts that I was beneficiary on at 4 other banks and was able to close them without any fees or problems, In fact Etrade transferred the IRA account and offerred me $1000 as a bonus if I opened a regular account with them. It seems too good to be true, so I am going to check it out, since it jsut may be a scam too. This is the first time I have dealt with Edward Jones and it will be the last. I worked in the banking industry and it is sad to see that so many banks are fee hungry [censored]s. I think Bank of America is the worst, but I have found some good credit unions and local banks that are not out to rob you. People please shop around and ask questions before you invest. Greedy places realize that a bunch of people dont know better and will not question or realize all the fees that are involved. They depend on this to make income instead of doing business in an honest and truthful manner. I have no problem with the broker at Edward Jones, he is jsut doing his job and did not try to force me to keep the money their. He is just the lure that the big fishes there are using when they are trollling for your money.

ComplaintsBoard
B
2:00 pm UTC
Resolved
The complaint has been investigated and resolved to the customer’s satisfaction.

Edward Jones unauthorized trade

The broker, Ed Sernoski, did purchase in one of my accounts, 400 shares of BP without discussion or authorization on May 27, 2010. When I complained, I was stalled off by their compliance department and told to complain to IIROC, which is another delaying tactic. Apparently, IIROC will not order restitution.

I have subsequently filed a small claims action for my losses of about $9, 000. Edward Jones lawyers actually filed a statement of Defence which basically states that I am only complaining because the investment has fallen in value.

In 40 years of investing, nothing like this has ever happened to me before. Needless to say, I removed the account. These guys are major bad news. I only hope I get my money out of them before they crash and burn.

Read full complaint and 1 comment
Resolved

The complaint has been investigated and resolved to the customer’s satisfaction.

Hide full review
1 comment
Add a comment
S
S
SpeculatingWisely
Granby, CA
Send a message
Oct 01, 2011 11:01 am UTC

If you gave them permission to manage your funds and signed a disclaimer, then unfortunately you have no case since they did nothing wrong .

If you didn't sign permission for them to manage your funds, then their lawyer's claim doesn't stand based on '' speculation '' . They don't have proof that you are complaining simply based on a loss, it's only their opinion and that makes it speculative . Facts are what wins court cases ...

Wise choice to have closed your account ...

Trust badge
Collect Your Trust Badge
Be recognized for outstanding customer service
  1. Edward Jones Contacts

  2. Edward Jones phone numbers
    Click up if you have successfully reached Edward Jones by calling +1 (314) 515-2000 phone number 0 0 users reported that they have successfully reached Edward Jones by calling +1 (314) 515-2000 phone number Click down if you have unsuccessfully reached Edward Jones by calling +1 (314) 515-2000 phone number 0 0 users reported that they have UNsuccessfully reached Edward Jones by calling +1 (314) 515-2000 phone number
    Head Office
    Click up if you have successfully reached Edward Jones by calling +1 (800) 803-3333 phone number 0 0 users reported that they have successfully reached Edward Jones by calling +1 (800) 803-3333 phone number Click down if you have unsuccessfully reached Edward Jones by calling +1 (800) 803-3333 phone number 0 0 users reported that they have UNsuccessfully reached Edward Jones by calling +1 (800) 803-3333 phone number
    Customer Service
  3. Edward Jones address
    12555 Manchester Rd, Saint Louis, Missouri, 63131-3710, United States
  4. Edward Jones social media
  5. Laura
    Checked and verified by Laura This contact information is personally checked and verified by the ComplaintsBoard representative. Learn more
    Apr 29, 2026
Edward Jones Category
Edward Jones is ranked 102 among 182 companies in the Cryptocurrency category