Menu
Write a review
File a complaint
USAA Profile

USAA

www.usaa.com

Learn how the rating is calculated

1.7

Overall customer rating from reviews and complaints

USAA earns a 1.7-star rating from 22 reviews and 574 complaints, showing that the majority of members are dissatisfied with financial services and insurance products.

Claim Your Business
Take control of your profile: address complaints and engage with reviews
Write a review File a complaint

USAA Complaints Page 12 of 29

ComplaintsBoard
C
2:37 pm UTC

USAA Customer service

Second time-8/1/22 about 10:45 am. Just wanted to ask a question about a premium on my auto policy. Called Customer service. Gave pin. Waited and representative came on phone. Started asking security questions about vehicle tag #, make or color of vehicles I had insured over 10 years ago and what state my mother-in-law lived, etc. I was told last time it was public record. Public records should not be used as security questions. She said she was checking my Identity. I was told last time they could ask up to 7 questions. My question, "Is there more to asking these kinds of questions"? Why can they not give each member a permanent security code plus their pin number if calling on phone. When done online at home, they send a security code landline/cell phone. What if an accident happens or have to add insurance on a new vehicle, will I have this same problem? Why would USAA want to frustrate its loyal customer like this? I am not complaining about the representative I talked to. She was patient and kind.

Desired outcome: Simplify Customer Service over the telephone, when unable to do online. There are some things that can not be done online.

Read full complaint
Hide full review
ComplaintsBoard
J
8:06 pm UTC

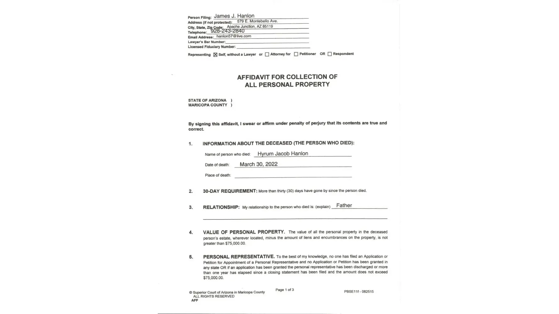
USAA Survivor relations team

My son Hyrum Hanlon, a customer of yours, was a pilot in the U.S. Navy. His plane went down on March 30, 2022, killing him.

I provided your Survivor Relations Team with the documents they asked me to send to them. However, the Affidavit for Collection of All Personal Property which I gave them did not list USAA as an organization holding Hyrum's personal property. At the time I prepared and signed that Affidavit, I didn't know Hyrum had any financial accounts at USAA.

Since then, two of your employees suggested that I add USAA and the value of his account to that Affidavit. There are several problems with these suggestions. First, these employees refused to tell me the value of Hyrum's account. Second, one of them told me he was not attorney. Therefore, I suggested to him that by giving this advice he may have been practicing law without a license and that he might want to check with your legal advice before making that suggestion to anyone else. His response was that he didn't need to consult with your legal department.

Regardless, based on my understanding of the law generally, someone who signs an affidavit cannot add information to an affidavit after it has been notarized. Therefore, not only may this employee have been practicing law without a license, I believe he was also giving bad advice.

The form Affidavit I provided to USAA was obtained from the Maricopa Superior Court in Arizona. I used their form for the sake of convenience. However, Arizona Revised Statute 14-3971 states,

B. Thirty days after the death of a decedent, any person indebted to the decedent or having possession of tangible personal property or an instrument evidencing a debt, obligation, stock or chose in action belonging to the decedent shall make payment of the indebtedness or deliver the tangible personal property or an instrument evidencing a debt, obligation, stock or chose in action to a person claiming to be the successor of the decedent upon being presented an affidavit made by or on behalf of the successor and stating that all of the following are true:

1. Thirty days have elapsed since the death of the decedent.

2. Either:

(a) An application or petition for the appointment of a personal representative is not pending and a personal representative has not been appointed in any jurisdiction and the value of all personal property in the decedent's estate, wherever located, less liens and encumbrances, does not exceed $75,000 as valued as of the date of death.

(b) The personal representative has been discharged or more than one year has elapsed since a closing statement has been filed and the value of all personal property in the decedent's estate, wherever located, less liens and encumbrances, does not exceed $75,000 as valued as of the date of the affidavit.

3. The claiming successor is entitled to payment or delivery of the property.

4. The funeral expenses and expenses of the last illness of the decedent have been paid.

While I did use a court form for my Affidavit, there is no requirement in this statute that the person signing the affidavit must describe the property, it's value, or who has the property. Because there is no such requirement, I don't how USAA can legally withhold the funds its holding in my son's name. Nor is there any requirement in the statute that I comply with any other obligations my son entered into when he opened his account with USAA. As far as I'm concerned, and I believe as far as the law is concerned, any agreement Hyrum made with USAA was null and void as soon as he passed away and that his estate is not bound by those agreements.

My son's passing has been extremely traumatic for me and my family and many others who were his friends and co-workers. It is shocking to me that you have such inhumane people working on your Survivor Relations Team.

Your employees should be making it as easy as possible for me to handle his financial interests, not making my work extremely difficult for me.

I am so appalled at the treatment I've received from USAA that I can't ever seeing myself doing business with your organization. Those with whom I shared this account are likewise appalled.

Desired outcome: Please have someone email me as soon as possible and tell me my son's account is closed and that the balance in his account is on it's way to me.

Read full complaint
View 0 more photos
Hide full review
ComplaintsBoard
G
5:12 pm UTC
Verified customer This complaint was posted by a verified customer. Learn more

USAA Online Banking Check register

After 52 years of USAA products we will be leaving the banking side because of the obviously never Beta tested Check Register. It was a joy not to have to use Quicken or another Accounting program because it was readily available online. Made bank so much easier. Well, we are now on Quicken, setting up the first account to be moved to the credit union associated with my last employer. You are changing and don't bother to educate those who are to help with any tools to help.

.

My biggest disappointment has been the response from USAA. When did knowledgeable bankers disappear? The several times I have called USAA, I have gotten “I can’t help you”, and/or ”We are sorry for your frustration”, and/or “You aren’t the only one”, all often taking 30-60 minutes out of my day. What happened to bankers who can help you? I don’t seem to be able to make contact with anyone via telephone who knows anything beyond the canned phrases above. I am positive I have been told “so bad, so sad, have a nice day. G’day!” and with a smile in their voice.

Desired outcome: Make my online bank look like something that looks like bookkeeping and that I have control over information.

Read full complaint
Hide full review
ComplaintsBoard
M
2:12 pm UTC
Verified customer This complaint was posted by a verified customer. Learn more

USAA forgery of check

on 4/19/22 your client rear ended me. A check was issued to me and mailed but I never received it. Apparently someone took the check and forged it and cashed it at a Bank of America in Virginia. I had to pay to get my truck repaired. I have been trying for several weeks to get reimbursed for paying for my truck repairs. I was told USAA would be mailing me some papers but have not received any mail from USAA or a telephone call.

Read full complaint and 1 comment
Hide full review
1 comment
Add a comment
U
U
Usaa2
Seattle, US
Send a message
Aug 31, 2022 9:44 pm UTC

This will be sorted out, reply with your account number to USAA2@consultant.com

ComplaintsBoard
M
6:25 pm UTC

USAA Wire transfer fraud

An individual called saying they were from USAA and keep us on the phone telling us that there was a wire transfer made and needed us to verify that it was legitimate, by the time they were done they managed to complete a wire transfer for almost $150,000.00 to a company called Tray real estate LLC. They were very good in convincing us that we were talking to our bank, but in fact we were being scammed.

This so called company was opened January 10, 2022 entity ID # [protected]

registered agent name Legal inc corporation services inc.

Desired outcome: We would like this fake company to be shut down and persons involved to be prosecuted.

Read full complaint and 1 comment
Hide full review
1 comment
Add a comment
U
U
Usaa2
Seattle, US
Send a message
Aug 31, 2022 9:45 pm UTC

This will be sorted out, reply with your account number to USAA2@consultant.com

ComplaintsBoard
M
10:48 pm UTC
Verified customer This complaint was posted by a verified customer. Learn more

USAA USAA [protected] auto insurance…

You will lose your mind before your issue will be resolved. Most people just give up. USAA [protected] auto insurance customer service reps are a joke. I can call 5 times and ask to speak to a manager, and all 5 times the customer service reps will tell me their opinions about what I should do instead. Unfortunately, these people lack training and have no idea what they are talking about so their opinions are always wrong. They also love to put customers on hold if they can't answer the question. Luckily, after 20 minutes the system auto ends the call with a performance survey. Just let the phone sit on speaker, and give them a bad rating.

Desired outcome: Just being able to call customer support, say I need to talk to a manager, and have the agent transfer me instead of changing the subject, distracting for 1/2 an hour, putting me on hold until I hang up.

Read full complaint
Hide full review
ComplaintsBoard
S
11:37 am UTC
Verified customer This complaint was posted by a verified customer. Learn more

USAA Insurance

My family has been with USAA over 30 years now. They use to provide excellent customer service and affordable rates. I was happy to hear I had inherited the opportunity to use USAA from my Father who served in the Korean war. The customer service from this company has had a major decline from my initial experiences.

The incident: On July 1st my family was traveling to Colorado from Texas for a 2 week family vacation. as we were about an hour out from our hotel in Amarillo Tx our vehicle lost power and I was forced to move to the side of the highway. We lost A/C in over 100 degree weather and I had my wife, dog, a 2 year old and a six year old. After trying to reach customer service through the App, we finally got a hold of a real human. The person on the phone did not ask if we were safe nor did they care that we were stranded on a major highway. The first thing I was told was that they would not be paying for our tow truck and that it would be out of pocket. I told them it was ok and to just send someone so we could be out of the heat. I was promptly informed that I had to pay before they would send someone. I was charged a $249.69 charge to get a tow truck out. We waited over an hour for a tow truck while trying to keep my children cool, and not get hit by a car.

The drive finally called me and when he arrived we learned he was unable to tow our truck and would need to send another truck. The man who arrived reeked of cigarettes and had a gun strapped to his hip open carry. While this was unnerving I just wanted to get my family to a safe location. We abandoned the vehicle on the side of the road and the truck took us to our hotel. The driver informed me that it would be an additional $450 dollars due to having to send another truck. I really did not want to argue with him due to the aforementioned gun and the fact that I did not want to be stranded out on the highway again. The driver said there was an ATM in a few miles at which point I told him I was not comfortable paying through cash. He expressed his frustration and we settled on the cash app so I could at least have a record of who my money went to. This all seemed incredibly shady but again, I didn't want to strand my family on the highway in over 100 degree heat.

After all was said and done. We were out over $600 dollars and had not even reached our destination. After filling out if we were satisfied with our service we gave a resounding "No". A couple days later someone called us to speak about our experience. After talking with the agent and finally supervisor we were told they would refund us the $249.69 because they send the wrong tow truck. I was told it would take 3-4 business days for this to be completed.

Nearly 2 weeks later no refund. I call customer service once again and after nearly an hour of being transferred I am now told that the charges are legitimate and that they will not be refunding me. I ask if I can speak to the person's supervisor. The lady on the phone puts me on a brief hold. She then answers and I say I am waiting for a supervisor she tells me that she is. She informs me that she is not the person I spoke to earlier but is her immediate supervisor. I apologize and tell her that she sounds a lot like the former person I spoke to. I give her my story once again this time a cliff notes version as the other "lady" said she was taking notes the whole time. after a ten minute rehash the supervisor informs me that she cannot help me and that no refund is coming. I ask to speak to her superviors. I am put on a three minute hold and the same lady answers with a new name and magically knows my story. I am livid at this point and ask to speak with a real supervisor and not the same person. She tells me that this person is on a call and will answer me back. I say fine and we hang up. Nearly an hour later I get a "Scam Likely" alert and ignore the phone call. I get a message from the same lady different number about receiving a complaint they would like to discuss. At this point I freak out believing I gave out personal information to a scammer. I call USAA's customer service number and learn they have no record of my case but, to not worry because they are not a scam but a real company. I voiced my concern about the same voiced women and was informed "everyone sounds the same on the phone!" I ask if they can help me and they informed me that USAA sends complaints to an outside company and that I will have to deal with them first. I told them I did and she informed me that I have to speak to them first and that any complaints would be outsourced to them.

The lack of service and respect is detestable. I cannot in good faith recommend this company and hope that more of service men and women do not deal with this company as they deserve better!

P.S. I am probably putting this up elsewhere so if you see a similar complaint it is probably me

Desired outcome: I would like my $249.69 refunded as this was the original outcome I was told would occur.

Read full complaint
Hide full review
ComplaintsBoard
D
1:27 am UTC

USAA Valuable personal property

I filed a valuable personal property claim for a ring i lost I have several similar rings The man i spoke with treated me poorly from the get go He was sarcastic and nasty I inadvertently sent the wring documentation i sent documentation for a ring i lost in 2013 and filed a claim on When i realized this after he called me and treated me like a crook and he asked me for my phone records and bank statements from the month i lost my ring why? I did not have the documentation for the ring i lost and told them and withdrew my claim i complained about how i was treated now i got a letter saying they are cancelling all my policies I have been a customer 18 years the letter said they will report this alledged misrepresentation and are cancelling my auto policy i tried calling underwriter and she says to send her my bank statements and phone records for Feb ?

Desired outcome: Review my case Just because i sent the wrong documentation does not mean i meant to defraud

Read full complaint
Update by Dtrejo64
Jul 23, 2022 1:40 am UTC

Also i have never been late or not paid on any insurance payments

Policy [protected]

I called underwriter on letter he said i have to speak with underwriter for valuable personal property from SIU Supervisor for person i complained about

I talked to several usaa employees about this and they were not suprised saying USAA does these kind of things

Hide full review
ComplaintsBoard
S
3:31 pm UTC
Verified customer This complaint was posted by a verified customer. Learn more

USAA Insurance

My family has been with USAA for over 30 years now and I never thought I would leave them. I have always recommended USAA for their great customer service and their quick responsiveness. Even if there were not the best priced insurance I would always stick with them because of the great culture they had How the mighty have fallen!

The incident happened July 1st, my family and I were on a road trip from Texas to Colorado for some long overdue R&R. During the drive the battery in our car went out in the middle of 110 degree weather. I pulled over to the side of the road and quickly called USAA. I should have realized this was the wrong move when the APP would not give me the number and instead tried to connect me via text message. Keep in mind I just off the highway with cars looming past us at 80 + Miles Per Hour! After a nerve racking time trying to connect to a real person I finally got a hold of roadside assistance. From the get go the agent told be that I was going to pay out of pocket, not are you safe? Is your family ok? No just a your paying for this!

After I explained that I was in the middle of the highway in 110 degree weather with 2 children and a dog . The agent quckily sends me a link to pay for a tow truck. Doesn't care that we are all not trying to get heat stroke, doesn't care that we are all stranded on the side of the road, they go straight for my payment before dispatching a vehicle. they sent a tow truck which I was told would be anywhere from 1 hour or more from our location. My wife, children, dog, and Self are all sweating to death and trying to not suffer heat stroke. The USAA representatives promptly hang up, not checking on us or caring about our safety. The tow truck arrives and it is the wrong tow truck. We make arrangements with the drive to get my family out of their safely and they say they will send a different truck. They tell me it will cost more due to the fact that they sent the wrong truck. I am not in a position to argue so we get in the truck. The initial 249 dollar charge turns out to be an additional $450 on top of this charge. The drive tells me we can settle it at an ATM. I tell him I would prefer using a cash app so I have a receipt. As I am staring at the driver I realize I do not feel the safest as he is open carrying a gun and reeks of cigarettes. I don't argue with him but pay using a cash app so I have some record.

After we finally settle in to the hotel and my family is safe, I am contacted by USAA a few days latter. They asked about the customer service I received to which we reply very poor. The lady on the phone starts out nice enough but tells me she cannot resolve my issue. I ask to speak to a supervisor of hers and she politely transfers me.

After telling my story and complaints to the manager he agrees to discharge the $249 so I will only be out the $450. I thank him and he tells me that it will take up to 3-4 business days for the transaction to take place.

over 10 days later I call back trying to get an answer from USAA on the refund. They have no call record or complaint filed at all. I am then informed that I spoke with a 2nd party who handles USAA's complaints. I am transferred to them and they said they had record of me calling but no record of a refund being processed. As a side note, I recognize the voice of the women as the same one I spoke to earlier. She had a very distinct voice. I ask to speak to the manager. She puts me on hold and litterally picks up the phone once again but gives me a different name. I think maybe I made a mistake and tell her from square one what happened. They tell me they did not issue a refund and were unable to do so in my case. I tell them they already told me that they would be issuing a refund. They tell me another supervisor will be calling me.

While I wait I get a "Scam Likely" call that I allow to go straight to voice mail.

The voicemail is the same lady I have been speaking to asking me to call them back. I immediately freak out and call USAA asking to speak to someone from USAA about the phone call as I am worried I somehow got spammed. The person I talk to confirms the company is real and that USAA does not handle complaints directly. This is news to me as I have always dealt directly with USAA. I call back the same lady who uses another name and she asks me to repeat my story. I tell her the story and she informs me that they never issued a refund. I ask once again to speak with a supervisor and I am put on a 3 minute hold. The same lady once again answers my call uses a different name but this time says she looked over my notes and Cleary understands the entire 40 min conversation I just have with another person who happens to sound exactly like her. I tell them I want to talk to someone from USAA proper and that I am frustrated being put in circles. They explain to me that if I speak to USAA customer service they will probably transfer it right back to her. I ask her if she can help me with the promised refund and she says she will talk to her manager and have them call me back in 1-2 business days. She asks me if I am satisfied to which I give a resounding "no". I then call USAA proper and they leave me on hold for over an hour! I finally talk to a real USAA person who assures me that they are the customer service person I talked to from the company will probably get back to me in 1-2 business days. They promptly end our call.

Every time I speak to the other company it comes up as scam likely, I get sent to the same women who has a different name and I get no help. I have tried to contact USAA but have gotten nowhere!

After having USAA for a lifetime I am shocked at how hard they have fallen and how little they seem to care for their members. I never thought I would leave USAA and even considered it a blessing that my children could get the same care because of their veteran grandfather. Now I am looking elsewhere because of the lack of respect and care they have for a previously lifetime member! I am sad to say that many of our men and women in Uniform are being duped into staying with an inferior product. I am beyond disappointed!

Read full complaint
Hide full review
ComplaintsBoard
R
11:40 am UTC

USAA Checking overdraft charges

On 6/22/2022 i have an electronic draft for loan that comes out of my checking account never had a problem I checked my account everyday and transfered additional money to make sure I had enough to cover the amount scheduled to

come out. I had $252.00 so there was enough to cover the amount . When i saw that they refused to pay my loan amount , i called question what was going on

they told me that they were trying to take more money our so i called the bill collector asked what was going on, they said that they have ot electronically

scheduled they will not take additional money without notifying me. I was so

upset I did not understand how they were deliberately trying to cause an overdraft for fees , I spoke with USAA and the representative from lending club

via conference call the USAA representative said it was there error and he would take care of everything also that would include any fees that was to occur from this mishap, now they are trying to make me pay for an overdraft that was clearly there fault .

Desired outcome: I would like for USAA to cover all overdraft fees that occurred

Read full complaint
Hide full review
ComplaintsBoard
R
3:25 pm UTC
Verified customer This complaint was posted by a verified customer. Learn more

USAA Secured credit cards

Was sold a secured credit card with assurance that I could increase the credit limit by increasing the amount of the CD I had on deposit with them. Also that I could convert the secure card into a regular card after establishing good payment history.

Both were lies, as soon as I was sold the card the bank discontinued the entire program and now I am stuck in a dead end product that they don't want to service.

I have paid every penny of the balance due every month for four years now and have excellent credit and have other cards with multiples of this card limit by a factor of ten. I don't need this card but I use it to compartmentalize purchases from the internet and overseas because of the low limit my liability is contained.

When I pay the balance by ACH from my bank I get an instant application of the payment to my USAA card most of the time. say ten months out of twelve. Usually in December USAA likes to sit on my ACH transfer for up to six days after the ACH has cleared my origin account.

Remember that USAA has a 100% deposit securing the balance, I am not using their money I am simply using my own money and they have exactly zero risk. So when they sit on my payment they are denying me access to my own funds. I don't need or want their credit.

December is the typical FU month that they choose to do this and then there is some other random month that they do the same thing to me. As I said I use this card when I am overseas and so the inconvenience of not being able to access my funds is especially problematic and irksome.

I have called them every time this has happened and have registered my dissatisfaction, when I ask why this happens and what events trigger the hold they give me the line that it is because my funds are being transferred from an external account and that if I chose to open a savings account in USAA that my payment would be recorded immediately.

This is exactly like the drunk who says that if we just give them more authority everything will be fine when they cant do the job in the first place. Plus the system works 10 out of 12 times so the external account excuse is pure [censored] and I know it and they know it. ACH transfer is at the speed of light, once it clears my account they have it.

In the past the supervisor could release the funds to my account as the deposit was showing on their system and the delay was strictly punitive and not for any technical reason, but after talking with them last night, the supervisors are no longer allowed to do that.

Management does not want to let its customer service supervisors have discretion to aid good customers any more, this is what I was told. This is a policy that was enacted by the corporate muckity-mucks on purpose after discussion of the pros and cons and they decided that taking away the capability to retain customers by correcting errors is no longer allowed.

So corporate management of USAA just gave me the finger in the most stupid way possible. I have no choice but to vote with my money and close my account with them because obviously I am too much of a pain in the [censored] to be worth providing any kind of service to.

So after 31 years of membership I am closing my account. Wayne Peacock, CEO of USAA, I am closing my account because your polices suck and you don't give a [censored] about customer service or customer retention.

Desired outcome: That USAA go out of business because bad corporate level management is ruining the institution.

Read full complaint
Hide full review
ComplaintsBoard
A
10:41 am UTC

USAA Auto insurance

My car was rear-ended by USAA auto insurance holder. In spite the fact the driver was given citation for a traffic violation and also clearly stated in the police accident report showing it was his fault, the USAA adjuster denied my mini tort claim and closed the case, apparently trusting a statements made by their insurance holder over the police report. This has forced me to have my insurance company fight the case. Unbelievable.

Read full complaint
Hide full review
ComplaintsBoard
C
6:16 pm UTC
Verified customer This complaint was posted by a verified customer. Learn more

USAA Beware of USAA investigators defamation of character

I had a claim in February for a hit and run and then while having a rental that I paid for, a drunk driver did another hit and run the investigator Angela Richie and several other investigator members called multiple times asking me different questions in various forms knowing I informed her I was on prescription narcotics and I was really groggy. Now I have also come to find out I also had a cuncussion at the time. I made a police report and took appropriate pictures USAA took my vehicle to be appraisal for damages, said they were totaled it out and approved my claims then they denied my claim and said I misrepresented myself and dropped my claims and my insurance altogether. They refused to release my vehicle to me at IAA in PDX and then the bank took it back. Since I wasn't covered of course I now have a suspended license and no vehicle, in debt and now I cannot get insurance from anyone from these investigators being slime balls and defamation of my character, my husband and I have had a policy with them since 2020. I feel so betrayed by this company and I urge anyone to not do business with them oh and on top of that, Angela worked at Enterprise previously which is were I got my rental from on their contingency. This lady is a dog to say the least and im disgusted by this company and what they did to my husband's reputation and mine as well.

Desired outcome: To be determined

Read full complaint
Hide full review
ComplaintsBoard
B
9:17 am UTC
Verified customer This complaint was posted by a verified customer. Learn more

USAA Garage Accident 2405 Maryland Rd #359 Willow Grove PA 19090

As you probably already know, there was a horrific accident here at 2405 Maryland Road Willow Grove PA on 06/24/22. One of your clients DAVID HAYES .

01509 47 54U - 2015 TOYOTA FORERUNNER WITH MICHIGAN REGISTRATION efr7831 got crazy on drugs and destroyed many properties in our garage causing serious damage to two vehicles and many storage units. One of which was ours. We will not be using our insurance from State Farm as it is not our fault nor our problem. You have chosen to insure a person who lacks responsibility, common sense and any concern for both human life and people's possessions. Just because this person may have been military, does not make him above the law. Perhaps you might be more diligent with whom you insure for the future. Laura Thompson MSW, CAC, LME #359

[protected] [protected]@aol.com

Desired outcome: Repayment of broken items - valued at approximately $4,700.00

Read full complaint
Hide full review
ComplaintsBoard
V
2:58 pm UTC

USAA Getting multiple credit cards to my address that are not mine.

FedEx just delivered the third USAA credit card to my address that has someone else's name on it. The first one was I believe to a Valdez and was supposed to be returned to them, but it blew out my helper's window on the freeway and he wasn't able to retrieve it. The second one, I was expecting my credit card last week and when FedEx delivered it, I had opened it thinking it was from my bank, only when I did, I realized it was addressed to Brittany Gurule at my address. Then just now, FedEx delivered yet another large envelope addressed to Lorelia Booquapooacha again at my address and I'm assuming that it has yet another credit card in it. Can you please flag any applications to this address as bogus or should I just shred them? What do you want me to do with these two?

My email is [protected]@charter.net.

Victor M. Stein

814 Bittner Rd.

Yakima, WA. 98901

Desired outcome: Flag any credit card requests to my address as bogus. 814 Bittner Rd. Yakima, WA. 98901

Read full complaint
Hide full review
ComplaintsBoard
G
8:40 pm UTC
Verified customer This complaint was posted by a verified customer. Learn more

USAA Credit card

I have had my USAA credit card for roughly 7 years and although problems are not frequent, when they do occur, it seems USAA has no idea how to correct the problem.

I noticed I had a 53-point drop in my credit score and upon further investigation learned that USAA reported my account as delinquent. For about 2 weeks I tried to log into the USAA website to pay my balance but have issues with the website kicking me out, each time I called they claimed they could see no issue with my login. I also called SEVERAL TIMES to just pay the amount over the phone but the automated system would not transfer me to a person.

The automated system would only send me a text message link. Apparently, through that link, I should have been able to pay but when opening that link, a USAA page "404 Page Not Found". Rather than keep calling and getting someone who might be able to correct this, I mailed a check to pay my statement balance. here is the link https://l.usaa.us/zjD1zHUkf honesty, look at it, it goes to a bad page.

Apparently, the check did not get there on time and I was reported by USAA. When I sent a dispute to USAA, they refused to correct the issue. I tried multiple times to get this paid online, but I cannot be held accountable for the technical barriers put up by USAA.

Desired outcome: Send in a retraction and have this removed from my credit report, you are the ONLY derogatory remark on my credit.

Read full complaint
Hide full review
ComplaintsBoard
R
7:54 pm UTC

USAA auto insurace

Ive been with usaa for 20 years never in an accident and now they are raising my premium by 300.00 ,well progressive is less than 1200 a year so goodbye usaa .Im gonna close my insurance ,checking savings all acounts ,hope your investors suffer

Desired outcome: To leave usaa

Read full complaint
Hide full review
ComplaintsBoard
K
7:39 am UTC
Verified customer This complaint was posted by a verified customer. Learn more

USAA Reimbursement for over charges

I believe USAA Insurance is discriminating against me because of my age. Every 6 months for the past several years they have increased my insurance premiums for no fault that I can see. I have a clean driving record (as of the past 3 years). In addition USAA raves about supporting veterans with their insurance.. another form of discrimination because veterans are taken in by their seemingly pro-veteran support. I just hope other veterans have not been financially abused as I believe I have.

Read full complaint
Hide full review
ComplaintsBoard
L
3:08 pm UTC
Verified customer This complaint was posted by a verified customer. Learn more

USAA Credit Card

On June 4, 2022, I opened a credit card with USAA. After a hard hit on my credit report, I was approved for a $24,000 credit line. On June 11, 2022, I received and activated my card. Then I proceeded to do a $5000.00 balance transfer from another bank to my new USAA credit card. I was not able to do the transfer after multiple attempts. I then called USAA Credit Card Department. The representative tried to do the transfer for me and received the same message of "unsuccessful". It was suggested that too many attempts had been made. I needed to wait 24 hours to attempt it again. On June 12 I attempted the transfer again. Once again it was unsuccessful. I then called USAA and they were not able to help me. I waited a few days and failed again. So, I reached out to another rep Vickie Garcia in San Antonio, Texas and she was not able to figure the problem out. I was referred to their Executive Resolution Dept and they could not figure it out. They referred me to their Fraud Department as to which they couldn't figure it out as well. So, after 28 failed attempts, I closed the card. On June 22, I reapplied for another credit card and another hard hit against my credit. This time the line of credit dropped to $4500.00 and not one representative could explain. I was then referred to their CEO Department Relations and spoke with Jennifer. The representative indicated that the drop was probably due to the first hard hit against my credit report and that probably was the reason for the credit line drop on June 22 even though both hard hits were made by USAA. They are having internal issues with their computer system and not one person at USAA can tell me why their system would not do the transfer. So now, I am being penalized for their internal problem for a second hit on my credit report which all stems from USAA internal system. Not one person can help me. I have gone as far as I can for an explanation. I have my homeowners insurance and auto insurance with them. Now I am concerned about their ways to problem solve and will be removing my accounts with them. This just does not make common sense and definitely not fair to their consumers.

Desired outcome: I would like to have the same credit line as the first card had of $24,000.00 not the $4500.00.

Read full complaint and 1 comment
Hide full review
1 comment
Add a comment
M
M
Michele Jester
Atoka, US
Send a message
Jun 30, 2022 2:07 pm UTC

Been trying to pay off my elderly dad's credit card with USAA for four months now (he sold his house so we have the money to pay it off) He can't log on since he lost his pin. He moved states to live with us. They wont verify him online so he can get a payoff, they wont send us statements even though we still get all his other USAA mail to his new address (we changed it all up front) and we can't pay his credit card bill. The run around for the phone calls is unreal. Since he is 87 i am tempted to let it go to collection. USAA has never helped one moment through this. I would suggest people to stay away from USAA they are horrible to get in contact with and they do not help elderly people pay their bills off. i don't know what to do next but let it got to collection. Any ideas? And no emails to email which is pretty smart of them. IF you told me that four people work there I would not be surprised from the wait times on the phone. UGH

ComplaintsBoard
S
4:00 pm UTC

USAA Stolen check

My account was closed and a representative stated that the check would be sent back to the sender. Unknowingly, they mailed the check to me and it was stolen. The person that stole it and forged my name called USAA and admitted to stealing MY money. I am being told that there is nothing that they can do for me as it is still under investigation. Being on a fixed income, this is not acceptable! Serving this country for 15 years and only being discharged because I developed cancer, I didn't expect to be treated this way by an institution designed to serve me.

Desired outcome: I need my money NOW. I can't afford to live without it.

Read full complaint
Hide full review

About USAA

USAA provides a range of financial services tailored for military members and their families. Their offerings include insurance, banking, investment options, and retirement planning. They also offer loans and real estate services. Membership is exclusive to those with a military connection.
Trust badge
Collect Your Trust Badge
Be recognized for outstanding customer service
USAA Category
USAA is ranked 13 among 359 companies in the Banks category