Menu
Write a review
File a complaint
Standard Chartered Bank Profile

Standard Chartered Bank

www.sc.com

Learn how the rating is calculated

2.2

Overall reputation rating based on reviews and complaints

Standard Chartered Bank has an overall reputation rating of 2.2/5 based on 0 reviews and 124 complaints, indicating that the majority of clients are somewhat dissatisfied with banking services.

Claim Your Business
Take control of your profile: address complaints and engage with reviews
Write a review File a complaint

Standard Chartered Bank Complaints Page 5 of 7

ComplaintsBoard
S
8:02 am UTC
Resolved
The complaint has been investigated and resolved to the customer’s satisfaction.

Standard Chartered Bank credit card hold transactions

One month ago I was travelling in England. Whilst there, I hired a car and stayed in a hotel. When I picked up the car, Avis requested a pre-authorisation via my Standard Chartered Visa card. I returned the car a few days later and found that Avis had charged my card ( quite correctly). I used the same card when I checked into a hotel. When I checked out a few days later, the company I work for settled my bill. A week after I returned home, I tried to use the card to buy something but the transaction was declined. I found out later that I had exceeded my credit limit. But when I checked my card balance on the Internet banking system, I still had what I thought was available credit limit. When I visited the bank, they told me that the holds placed on my card by Avis and by the Marriott hotel had not been reversed. The bank staff told me that I had to contact Avis in UK and also the Marriott. This I did. Both told me that they had instructed their banks to release the holds on the day an actual charge was put on my credit card account. I reported these conversations to Standard Chartered who said that they required Avis's bank and the Marriott's bank to send them faxes requesting release of these holds. This I was told was the normal procedure in such cases.

I currently work for a large international bank. I know that the bank I work for is the bank used by one of the merchants in question. I also know that the bank's processes no longer require faxes to be sent, especially when dealing with other international banks.

I did manage to get the Marriott's hold released, but after 2 weeks of checking out of the hotel. As of today, nearly 4 weeks after returning the car, the Avis hold is still there. Standard Chartered refuse to release the hold, even after Avis confirmed that they had already given instructions for its release.

The problem lies with Standard Chartered and the bank's rather out-dated process. I have now decided to close my accounts with the bank. I hear DBS is good. I will be banking with them and opening a credit card account there.

Read full complaint and 2 comments
Resolved

The complaint has been investigated and resolved to the customer’s satisfaction.

Hide full review
2 comments
Add a comment
A
A
Ashish Kumar Singh
SG
Send a message
Jan 17, 2013 12:48 pm UTC

Online Fraudulent Transactions on my Credit Card

Dear All,

This is Ashish Singh From Lucknow. I got similar kind of fraud transaction with my SC credit card. In One (06th Dec'12) month back one Friday late night 12 pm i got 10 sms's that somebody did online transaction on my behalf in $ (~30K in RS) 10 times. I called up bank immediately and asked them to stop my card and even block payments. They said it will take 48 hours to claim from merchant. after that they asked me to fill dispute from. they said we investigate and sent me bill copy which has online merchant name "HOSTGATOR.COM PS://SIGNUP.HUS". Bank has not even traced the IP Address of that person. I am really going under mental trauma and mental torcher from Standard Chartered Bank. Kindly do not get Credit card or any service from this anti -customer care bank.

Please guide me where I file a complaint against this bank so that necessary action taken & I don’t need to pay this fraud transaction amount.

E
E
E. Smith SA
Johannesburg, ZA
Send a message
Jan 09, 2013 1:45 pm UTC

Avis has conducted transactions on my VISA credit card in SA which did not show on my transactions on my statements. This is a blatant disregard for security and client management. As a CEO of a company I have given instructions that no AVIS car hire may be done in future due to the risk of fraud.

ComplaintsBoard
S
1:52 am UTC
Resolved
The complaint has been investigated and resolved to the customer’s satisfaction.

Standard Chartered Bank ops manager model colony branch

I had tried to open my company account and my personal account last year at standard chartered bank model colony.
First of all they convince me to open the account in silk or Alfalah bank, when I insist then they took my documents and pending my case till (3) three months.

Finally they refused to open the account in Standard chartered.
My collogue friend is working in standard chartered metro pole branch when I request him within two day I get my account there.
Now I am having my business and my personal account there and I am very satisfied.
Unfortunately I made a pay order of amount 410000/=PKR and due to some reason we need to canceled that pay order as per requirement of the Ops Manager.

My complain is against the OPS manager Mr. Imran Zaidi his attitude is not professional and creating problems against the customer.
Secondly he has no information regarding his job and responsibilities.

He didn’t share the complete details / requirement and make suffer the customer .

Kindly take some necessary action on it.

Read full complaint
Resolved

The complaint has been investigated and resolved to the customer’s satisfaction.

Hide full review
ComplaintsBoard
M
12:28 am UTC
Resolved
The complaint has been investigated and resolved to the customer’s satisfaction.

Standard Chartered Bank amex the poorest credit card services

I am American Express green card member since 2002. There comes not even a single day when I felt of having this card in my pocket an advantage, it was always better to leave this card at home. I also hold cards of other hallmarks but let me express that AMEX is the poorest in all terms from its acceptance rate to customer services in Pakistan owned by Standard Chartered Bank. On every occasion related to AMEX cards use you will get a vivid notion that the banks team behind the card operations is on someone else's payroll, leaving no chance spared to spoil the AMEX card image.

Read full complaint
Resolved

The complaint has been investigated and resolved to the customer’s satisfaction.

Hide full review
ComplaintsBoard
S
10:52 pm UTC
Verified customer This complaint was posted by a verified customer. Learn more

Standard Chartered Bank misguided by your staff

Good Morning,

As i told you, i was working for a well known food service company and i resigned and joined a new company in the month of March 2012, when i took the loan from SCB i asked the Sales Person (Mr. Deepak- Jebel Ali Branch) who was assisting me with the same, that i had certain plan in mind and if so what will be the procedure, he briefed as its a loan against salary transfer, after joining the new company submit the Salary Transfer Letter, New visa, copy of appointment Letter and so.

After resigning i got a call from Mr. G.( does not want to mention ) (Collection Dept.) on 22nd April at 11am, asking the details and i gave the whole information correctly and so my Credit Card was blocked and account as well, because i was honest, Mr. G. told me that theFinal Settlement that comes to the bank will be adjusted to the Loan outstanding and that is the Banks Policy, at this stage i called up the people i know who is working with SCB and even the Sales person but still i got the answer as the Bank will release the money once you submit the relevent documents, but when it comes to the collection Dept. The policy is just the opposite and nobody can help it, this means the Sales people are selling the product without knowing what it has inside.

One day came to the SCB bank 2nd floor Collection Dept. Help desk with the relevent document and met a lady there and really felt it was not a help desk but something else, all cross questoning and left with only disappiontment as if i made a mistake by taking loan. The next week i again came to the bank to see Mr. M ( relationship manager ) as suggested by Mr. G. But this time I met with Ms. A. at the Help Desk, she was much Polite but can’t help with anything and as per request i gave a letter which she told me will forward to the Management level and asked me to wait till the reply comes.

Again i got a call from Mr. G on 17th May at 3.45pm and again the same talks and asked me to meet Mr. M (R.M ), and by chance i could meet him in the collection dept on 24th May and he also said the same thing that is the policy of the Bank, but has forwarded the letter to his manager and waiting for the reply.

They had asked for a breakup letter from the old company so they can release the amount that is their apart from Gratuity, as for my old company they have never issued such a letter, but waiting such a thing to happen.

Try to understand our situation and as we were misguided by SCB sales people

why should we bare the lose.

Waiting for the reply from SCB as our hard work money is in your hands.

Sumesh

Read full complaint
Hide full review
ComplaintsBoard
S
12:19 am UTC
Verified customer This complaint was posted by a verified customer. Learn more

Standard Chartered Bank customer service behave like loan shark

Bad Experience with Standard Chartered Bank SG. Customer service.
(SCB customer service people are loan sharks not customer service professionals). Last year lost my job.. I requesting them for few months loan re-pay.. nobody considered. After 3 months delay. I approached re-payment loan.. usually I am paying monthly S$425 only.. March Month I spoke with Ms. Rahida ([protected]).. as her suggestion I paid S$850.. and she said with this month end.. we will send the re-payment loan details.. still not provided.. So I called after 1 week gap.. she forwarded the phone to another customer service person. he is Mr. Nicolson Tay ([protected])... he doing worst reply.. not like CS Professional ie., you need to pay again S$850 then only we can provide re-payment option. So I paid again the same amount.
after the payment Nicloson telling that you have to pay another S$1600.. then only can provide detail otherwise we will take your house holding things. I am not getting the proper reply from them. what shall I do... Please guide me on this.

he is not working like Customer Service professionals.. behaving like "Loan shark".. and he calling from Private Number.. saying that.
If you give some commision.. I will provide better re-payment option. he always disturbing without proper reason. lot of torture.
Last payment detail : Credit card no : [protected]
date : 27/04/2012 time : 15:41 Terminal : 642 / Acceted ref : 7237amount: S$850
Please guide me on this.

! SCB customer service people are loan sharks not customer service professionals.!

Read full complaint and 1 comment
Hide full review
1 comment
Add a comment
K
K
kokobe
GH
Send a message
Nov 11, 2013 3:00 am UTC

i am Musa Jemi by name, the C E O, Of Musa Micro Finance, i give out loans to individuals and company at 5% if you are in need of loan, you can contact me via email at. (musa_jemi@yahoo.com.sg) i will be glad to offer you loan,

ComplaintsBoard
I
1:39 am UTC
Resolved
The complaint has been investigated and resolved to the customer’s satisfaction.

Standard Chartered Bank over promised under delivered services

I am utterly dissappointed with the kind of serbices that I received when I do a fund transfer with SCB Credit card.

I lodged in a complain through their customer service hotline, the complain was as follows;

I've called in on Last Friday at 3plus wanting to do a fund transfer on my credit card for 1% processing fees at 0% interest for 6 months after I received the marketing letters that you send over to my place.

Your staff called back at 5pm trying to sell me another package but I told her that the letter that i've received is at 0% interest rates and after checking with her superior, she have me a call back at 6pm and I made an application over the phone and was told that the application will take 3 - 5 working days.

I did an indication to her that when I do funds transfer with other banks, I will usually get my funds within the next day if I make a transfer to my account within the same bank and within 2 - 3 working days if I transfer to another bank.

I've also told her that I needed the funds urgently and that I have funds coming in on this Friday, do I need the funds to tie me for this for this week.

I needed the funds for a deposit to be place for a first phase condo on Malaysia, so I made a call back on Monday to check with regards to the states of the application, but was shock to find out at 6pm that no application has been made on the card. 

I requested for a call back which I received on yesterday, Tuesday, 27/03/2012, at 2pm by another sales staff stating that she is doing a call back understanding that I requested to do a fund transfer.

I was shock and told her I did an application on last Friday and I want to know when am I able to get the funds. I received another call back at 5pm and was told that the application was approved but I NEED TO WAIT TILL FRIDAY IN ORDER TO GET THE FUNDS.

I WAS SHOCK, EVEN AFTER YOUR APPROVAL YOU'LL TAKE 3 days to transfer the funds. I gave an alternative in relation to transfer funds to my SCB Account but she told me it'll still take 3 working days.

If I've know your process is so slow I would have made an application with another bank and not with SCB, I'm utterly disappointed with the process, the service that was provided. Today is the last day for me to place a deposit for the condo and if I dun place it by today, I'll incurred additional charges, is the bank going to be responsible for this? And the timing is too rush for me to get the funds from another bank. I could only reckon that my funds that I transfered out is too little and SCB is not interested in the small amt of revenue that I'll be provide for this transfer.

Pls kindly assIst to revert with a solution by today, else, I should write in to media to express the displease in the services by you bank.

The reply that I've gotten on Wednesday was that they'll transfer the funds into my account by 2pm, 29 March 2012, which was today.

When I check the account, not only not a single penny has been transfered but the staff did not get back to me even till this point when I was writing this complain on a complaint portal.

The kind of over promising and under delivering service that I have gotten not only caused my fustration, it also made me incurred a $10k forfeited deposit which I have place with the seller for the property.

They don't even have the courtesy to give me a call back to explain in relation to the whole screwed up process! I would urge anyone who have accounts with SCB to think twice before doing a fund transfer with the bank.

The whole process sucks and they delay in the funds bring transfer will only be giving yourself not only fustration but in situation like mine, being slapped with forfeited penalty. This lesson is too expensive and I've lost my dream property and I can only reckon that it is due to the revenue that I'll be contributing to SCB is too little and that is the reason why they are not at all interested in doing business with me.

I hope after reading my real life experience, anyone who might want to do business, pls give it a serious second thought.

Read full complaint and 1 comment
Resolved

The complaint has been investigated and resolved to the customer’s satisfaction.

Hide full review
1 comment
Add a comment
R
R
redress.me
SG
Send a message
Apr 01, 2012 10:58 am UTC

I have forwarded the story to Redress.me. Hope you will get the recourse you needed. Here it is: http://redress.me/view_post.php?pid=2099

ComplaintsBoard
T
4:44 am UTC
Verified customer This complaint was posted by a verified customer. Learn more

Standard Chartered Bank amnesty program

I have been reaching out to Standard Chartered PH for a payment assistance program for the longest tI'me since I want to settle my obligation with this company.in Nov 2011, After several repeated attempts of asking them to help me settle my account, they finally informed me that I will qualify for the program if I settle at least P2, 500 within a certain period. After proving them with the payment info., they told me that I will receI've an email with the application form. After no emails was sent, I called them 2x to follow up on this. Every TI'me I call I get an assurance that this will be sent. Finally after waiting still with no email, I called them once again only to be informed that they did not follow up my application form to the Admin since there is no use as it was already too late to submit it. They are even saying it was sent to me. I am constantly checking my mailbox, even my junk mail but no application form was sent by them.
Sheryl Cruz (Supervisor) spoke to me and guaranteed that if I pay P2, 500 (Dec), she will make sure that the application form will be sent to me. After paying, I did receI've an application form. I submitted all the documents needed. Lo and behold, after several emails that I've sent to them, I never got any response. I was following up on my application and is asking about the status but not 1 email was sent to me to reply. January 2012, I got 2 calls from the credit department asking me to pay for my dues. I told them that I have a pending application for their amnesty program. The 1st agent even told me that I am using the program as an excuse so that I wouldn't pay. When the 2nd agent called, she also was asking for payment and when I told her that I have pending application with their program, it was like she didn't know anything about this. she asked probing questions like if I have receI'ved an application form, if I knew this program was for approval, etc. it seems that there is no record that I even applied for their amnesty program! the agents have no idea what I'm talking about. the last rep told me that shell get back to me to verify this and that was a week ago. I haven't heard from them so far. but I'm sure if I hear from them it is to inform me that I did not pass or did not qualify. The agent by the way told me that I need to pay at least P5, 000 to qualify again, for the 3rd tI'me, to the amnesty program. I told them I did not qualify in the first place, how come I was never notified through email, mail or even through phone call. no one can gI've me an answer. I felt like I was cheated and the supervisors that I was speaking with are all unprofessional! I was the one bugging them in the first place that I want to settle my account. all I'm asking from them is a payment assistance that is possible in my situation. the computation that they gave me P800 per month was very realistic for me as I am a single mother of 2.

Read full complaint
Update by twishi
Jan 17, 2012 5:15 am UTC

yes i know that, but what i am trying to explain here is that i feel that my application wasnt forwarded at all. the reps calling me have no idea that i even have an application with them. once i inform them that, they can immediately respond that i did not qualify. how can they know the result if they even dont know about it in the first place. now they are asking me again to pay at least P5000 to qualify again, for the third time, for the amnesty program. i have been in touch with them for the past months asking for any kind of payment assistance as i want to end my obligation with this company. i thought i finally got it with this program but they are just giving me the run around.

Hide full review
ComplaintsBoard
S
7:45 am UTC
Verified customer This complaint was posted by a verified customer. Learn more

Standard Chartered Bank chrtered trust bank united kingdom not interested to transfer my minning funds into my local bank account

Respected Sir/M
my name is bikramjit singh. I am winner in 3rd intercontinental draw. I request to complaints board read the statement clearly that chartered trust bank said that you are required to make your account activation deposit on or before the 4th of october 2011. I already delivered confirmation deposit slip to complaints investigation bureau which I was sent to chartered trust bank united kingdom dated 4th of october 2011 from me. I already sent all the proofs to complaints investigation bureau united kingdom. complaints investigation bureau united kingdom ignored all the true statements. complaints investigation bureau united kingdom said that we were informed you that you sent your deposit confirmation slip to them late and your account was deactivated. I already delivered all the proofs which I delivered to chartered trust bank united kigdom dated 4 of october 2011 in united kingdom banking hours according chartered trust bank united kingdom statement. now I inform to complaints board that chartered trust bank united kingdom & complaints investigation bureau not interested to transfer my winning funds into my local bank account with lame excuse. according law nobody can refuse this confermation deposit slip. according law FORIGN EXCHANGE MANAGEMENT ACT 1999 chartered trust bank united kingdom defaulter if the refuse this confirmation deposit slip bcoz under law statement ACT1998 there is no need to pay anything if the payment transfer in vaild time into the chartered trust bank united kingdom correspondence account according statement. I already sent confirmation deposit slip to complaints investigation bureau united kingdom which was sent to chartered trust bank united kingdom dated 4th of october 2011 from me in united kingdom banking hours. under law FORIGN EXCHANGE MANAGEMENT ACT 1999 there is no need to me pay anything extra to chartered trust bank united kingdom becoz according statement comfirmation deposit slip delivered to chartered trust bank united kingdom dated 4th of october 2011 from me. now with lame excuse chartered trust bank united kingdom said to me note thae due to delay in sending us your account activation deopist there is going to be an extra charge to be paid by you. there is no need need to me to pay enything extra to chartered trust bank united kingdom because I already delivered deposit confirmation slip to chartered trust bank united kingdom dated 4th of october acording chrtered trust bank united kingdom statement in unted kingom banking hours I already delivered all the proofs to complaints investigation bureau united kingdom. now I request to complaints board that please immediately activate my account in chartered trust bank united kingdom and transfer my winning funds into my local bank acccount.. chartered trust bank united kingdom not interested to pay me my winning funds with lame excuse.

BIKRAMJIT SINGH

Read full complaint
Update by singh honey
Oct 22, 2011 7:08 am UTC

Respected Sir/Madam,

i request to complaits borad resd the statement clearly that chartered trust bank said that you are required to make your account activation deposit on or before the 4th of october 2011.i already sent confirmation deposit slip to complaints investigation bureau which was sent to chartered trust bank united kingdom dated 4th of october 2011 from me.i already sent all the proofs to complaints investigation bureau united kingdom.complaints investigation bureau united kingdom ignored all the true statements.complaints investigation bureau united kingdom said that we were informed you that you sent your deposit confirmation slip to them late and your account was deactivated.i already sent the proofs which i delivered to chartered trust bank united kigdom dated 4 of october 2011 in united kingdom banking hours according chartered trust bank united kingdom statement.now i inform to complaints board chartered trust bank united kingdom & complaints investigatio bureau not interested to transfer my winning funds into my local bank account with lame excuse. according law nobody can refuse this confermation deposit slip.according law FORIGN EXCHANGE MANAGEMENT ACT 1999 chartered trust bank united kingdom defaulter if the refuse this confirmation deposit slip bcoz under statement law 1998 there is no need to pay anything if the payment transfer in vaild time into the chartered trust bank united kingdom correspondence account according statement.i already sent confirmation deposit slip to complaints investigation bureau united kingdom which was sent to chartered trust bank united kingdom dated 4th of october 2011 from me in united kingdom banking hours.under law FORIGN EXCHANGE MANAGEMENT ACT 1999 there is no need to me pay anything extra to chartered trust bank united kingdom becoz according statement comfirmation deposit slip delivered to chartered trust bank united kingdom dated 4th of october 2011 from me.now with lame excuse chartered trust bank united kingdom said to me note thae due to delay in sending us your account activation deopist there is going to be an extra charge to be paid by you.there is no need need to me to pay enything extra to chartered trust bank united kingdom because i already delivered deposit confirmation slip to chartered trust bank united kingdom dated 4th of october acording chrtered trust bank united kingdom statement in unted kingom banking hours i already sent all the proofs to complaints investigation bureau united kingdom.now i request to complaints board that please activate my account in chartered trust bank united kingdom and transfer my winning fuds into my local bank acccount..chartered trust bank united kingdom not interested to pay me my winning funds with lame excuse.

BIKRAMJIT SINGH

Update by singh honey
Oct 28, 2011 9:52 am UTC

Respected Sir/Madam,

my name is bikramjit singh.i actually emerged winner in the 3rd stage intercontinental draw. i request to complaits borad read the statement clearly that chartered trust bank said that you are required to make your account activation deposit on or before the 4th of october 2011.i already sent confirmation deposit slip to complaints investigation bureau which was sent to chartered trust bank united kingdom dated 4th of october 2011 from me.i already sent all the proofs to complaints investigation bureau united kingdom.complaints investigation bureau united kingdom ignored all the true statements.complaints investigation bureau united kingdom said that we were informed you that you sent your deposit confirmation slip to them late and your account was deactivated.i already sent all the proofs to complaints investigation bureau which i delivered to chartered trust bank united kigdom dated 4 of october 2011 in united kingdom banking hours according chartered trust bank united kingdom statement.now i inform to complaints board united kingdom that chartered trust bank united kingdom & complaints investigatio bureau not interested to transfer my winning funds into my local bank account with lame excuse. according law nobody can refuse this confermation deposit slip.according law FORIGN EXCHANGE MANAGEMENT ACT 1999 chartered trust bank united kingdom defaulter if the refuse this confirmation deposit slip bcoz under statement law 1998 there is no need to pay anything if the payment transfer in vaild time into the chartered trust bank united kingdom correspondence account according statement.i already sent confirmation deposit slip to complaints investigation bureau united kingdom which i was sent to chartered trust bank united kingdom dated 4th of october 2011 from me in united kingdom banking hours.under law FORIGN EXCHANGE MANAGEMENT ACT 1999 there is no need to me pay anything extra to chartered trust bank united kingdom becoz according statement comfirmation deposit slip delivered to chartered trust bank united kingdom dated 4th of october 2011 from me.now with lame excuse chartered trust bank united kingdom said to me note thae due to delay in sending us your account activation deopist there is going to be an extra charge to be paid by you.there is no need need to me to pay enything extra to chartered trust bank united kingdom because i already delivered deposit confirmation slip to chartered trust bank united kingdom dated 4th of october acording chrtered trust bank united kingdom statement in unted kingom banking hours i already sent all the proofs to complaints investigation bureau united kingdom.now i request to complaints board that please immediately activate my account in chartered trust bank united kingdom and transfer my winning fuds into my local bank acccount..chartered trust bank united kingdom not interested to transfer my winning funds into my local bank account with lame excuse.

BIKRAMJIT SINGH

Update by singh honey
Nov 02, 2011 5:21 am UTC

Respected Sir/M
my name is bikramjit singh.i am winner in 3rd intercontinental draw. i request to complaints board read the statement clearly that chartered trust bank said that you are required to make your account activation deposit on or before the 4th of october 2011.i already delivered confirmation deposit slip to complaints investigation bureau which i was sent to chartered trust bank united kingdom dated 4th of october 2011 from me.i already sent all the proofs to complaints investigation bureau united kingdom.complaints investigation bureau united kingdom ignored all the true statements.complaints investigation bureau united kingdom said that we were informed you that you sent your deposit confirmation slip to them late and your account was deactivated.i already delivered all the proofs which i delivered to chartered trust bank united kigdom dated 4 of october 2011 in united kingdom banking hours according chartered trust bank united kingdom statement.now i inform to complaints board that chartered trust bank united kingdom & complaints investigation bureau not interested to transfer my winning funds into my local bank account with lame excuse. according law nobody can refuse this confermation deposit slip.according law FORIGN EXCHANGE MANAGEMENT ACT 1999 chartered trust bank united kingdom defaulter if the refuse this confirmation deposit slip bcoz under law statement ACT1998 there is no need to pay anything if the payment transfer in vaild time into the chartered trust bank united kingdom correspondence account according statement.i already sent confirmation deposit slip to complaints investigation bureau united kingdom which was sent to chartered trust bank united kingdom dated 4th of october 2011 from me in united kingdom banking hours.under law FORIGN EXCHANGE MANAGEMENT ACT 1999 there is no need to me pay anything extra to chartered trust bank united kingdom becoz according statement comfirmation deposit slip delivered to chartered trust bank united kingdom dated 4th of october 2011 from me.now with lame excuse chartered trust bank united kingdom said to me note thae due to delay in sending us your account activation deopist there is going to be an extra charge to be paid by you.there is no need need to me to pay enything extra to chartered trust bank united kingdom because i already delivered deposit confirmation slip to chartered trust bank united kingdom dated 4th of october acording chrtered trust bank united kingdom statement in unted kingom banking hours i already delivered all the proofs to complaints investigation bureau united kingdom.now i request to complaints board that please immediately activate my account in chartered trust bank united kingdom and transfer my winning funds into my local bank acccount..chartered trust bank united kingdom not interested to pay me my winning funds with lame excuse.

BIKRAMJIT SINGH

Hide full review
ComplaintsBoard
G
1:13 am UTC
Resolved
The complaint has been investigated and resolved to the customer’s satisfaction.

Standard Chartered Bank fraud

The senior financial advisor of scjl, anna pawlyszyn, told a string of lies in order to secure a sale of what she described as the standard chartered jersey limited european banking recover note to my wife and I for gbp100, 000.in fact standard chartered gave the money to lehman in usa. three months later when lehman went into liquidation we discovered that standrad charterd investment was a scam and did not exist and that our money was gone. since then standard chartered just refuses to sort out the problem saying take us to court if you can afford it. do not deal with standard chartered bank they are corrupt scammers who think lying is quite acceptable.
George burrow

Read full complaint
Resolved

The complaint has been investigated and resolved to the customer’s satisfaction.

Hide full review
ComplaintsBoard
S
5:51 pm UTC

Standard Chartered Bank fraud by employee

I have to complain against the fraud done by the standard chartered bank employee just to get a commission sale.

The senior financial advisor at standard chartered jersey told me a long string of lies in order to secure a commission sale. when scjl lost our money they hide behind their lawyers. be very careful and do not deal with this dishonest bank, if you do you will regret it.

Read full complaint and 1 comment
Hide full review
1 comment
Add a comment
S
S
sumesh pk
Dubai, AE
Send a message
Jun 03, 2012 10:57 pm UTC
Verified customer This complaint was posted by a verified customer. Learn more

Thats a real truth or you can say its a naked truth behind this nasty people. i will say that do banking, take loan from any other bank but dont take from tis bloody bank and dont put urself in trouble.

ComplaintsBoard
S
2:13 pm UTC
Resolved
The complaint has been investigated and resolved to the customer’s satisfaction.

Standard Chartered Bank sc is worst bank in pakistan

Hello

Sc is proved is worst bank in pakistan. especially their customer support department is full with ill manered and mentaly corrupt staff. who do not know how to talk with the customers.

It is probably second time since past six months, but at both time, they tried to mis-treat me and were dealing like a joker.

When I said that I did not received cc statement, the cs guy said that how would we know that you do not receive a cc statement. later, he told me that your cc statement is dilvered to you on 13 september.

When I said that you must send an expensive sms too, when you send expensive statment through post. he said that for this purpose, we will have to have 5, 000 "bunde" men, in our office. later, he wanted me to write an email to his back, telling them how to implement sms system.

Lots of other stupid things from him. I am using cc, dcs from various banks. it had never happened to me with other banks. last time I send them email, this time too. but no action. instead, they are becoming worse than ever.

I shall strongly recommend not to use this ill-mannered bank for any purpose, I honestly telling you that I had an a/c and cc in this bank. I shall close my a/c in few days and then cc too. these mentals does not deserve to be contacted for services.

Thanks.

Saj

Read full complaint and 2 comments
Update by saj2go
Oct 14, 2011 2:16 pm UTC

a slight change in the first line of the third paragraphs,

When I said that you must send an in-expensive sms too, when you send...

Resolved

The complaint has been investigated and resolved to the customer’s satisfaction.

Hide full review
2 comments
Add a comment
B
B
bilawal
PK
Send a message
Aug 26, 2013 6:11 am UTC

I totaly agree with you. They offer me credit card & confirm that there will be no annual fees & they have charge me PKR3500 annual fees. Another thing i have requested them to 5 days back that i need the bank statement for the tax purpose still i havn't got it. I already close my account then credit card soon. Worst bank in pakistan & i will say omni account service is better than sc service.

B
B
bilawal
PK
Send a message
Aug 26, 2013 6:05 am UTC

Their customer service is sucks

ComplaintsBoard
T
10:39 am UTC
Resolved
The complaint has been investigated and resolved to the customer’s satisfaction.

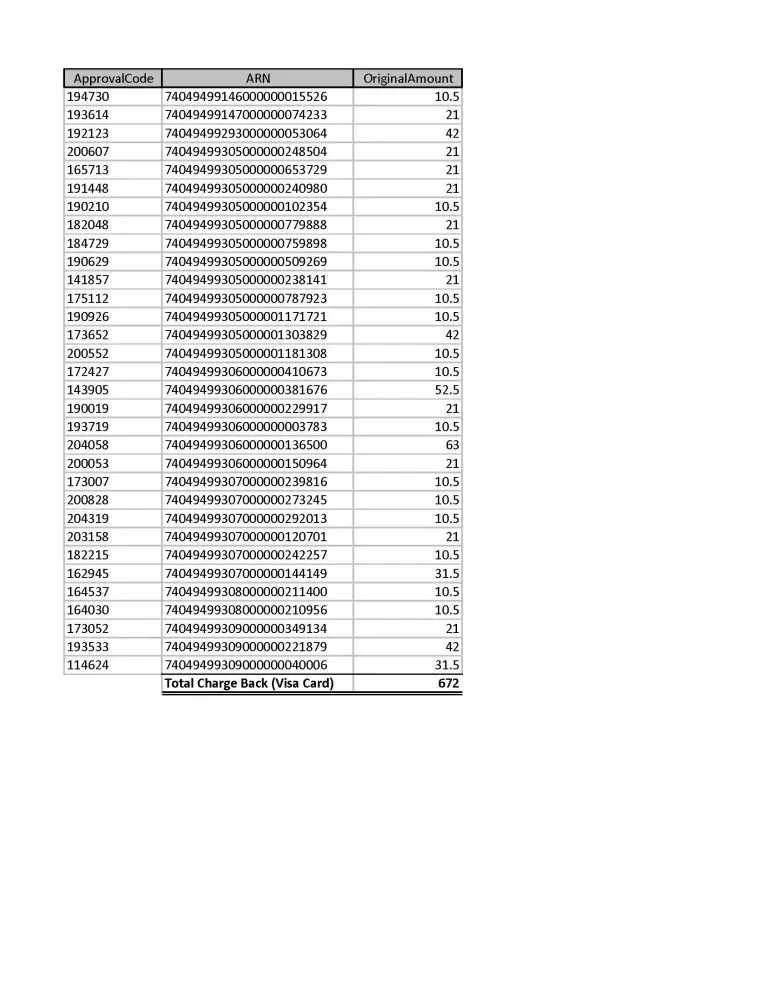
Standard Chartered Bank cc uncollected bl usd $ 678.39

Respected Sir

I would like to divert your kind attention towards the credit card transactions on my Card # [protected]. I got statements dated 19th Oct 2009 and 19th Nov 2009 amount Rs. 2716.69 & Rs. 73836.38 which I paid on 22nd Oct 2009 by cheque # B 180390 amount Rs 2717 and 4th Dec 2009 by cheque # B 182703 amount Rs. 73840/- (Statements enclosed) regarding different transactions in which Enjazit Information Technology, Riyadh Saudi Arabia USD $ 672 is discussable.

I paid my bill as per credit card statements but Enjazit Information Technology Riyadh Saudi Arabia deducted the same amount in my Virtual Wallet Account (credit account in enjazit information tech) on 18th June 2011 and send detail statement which I enclosed for your information and necessary action.

I written complain the same to Standard Chartered Bank on 20th June 2011 and their reference number is R001/06/11/020522/C01. Several reminders and unlimited telephones calls to dispute department of Standard Chartered but still no response. Kindly solve this matter on urgent basis and pass instructions to Standard Charted Bank to transfer USD $ 672 in my credit card.

Thank you very much

Regards

Tafseer ul Islam
Mob # [protected] & [protected]
Tel # 0092-21 [protected], [protected], [protected]
Karachi

Read full complaint
View 0 more photos
Resolved

The complaint has been investigated and resolved to the customer’s satisfaction.

Hide full review
ComplaintsBoard
A
7:24 pm UTC
Resolved
The complaint has been investigated and resolved to the customer’s satisfaction.

Standard Chartered Bank worst bank ever

I totally agree standard chartered bank is worst bank ever.. never take any type of loan from standard chartered bank.. scb is a biggest cheater.. the dirtiest bank I have ever dealth with. they are bunch of hoodlums wrongfully entered in to the banking sector.in some bank may be one or two person are bad...
Here the total culture itself is so bad, even hiring the people with standard chartered experience will bring disgrace and harm to anywhere they work.

Read full complaint
Resolved

The complaint has been investigated and resolved to the customer’s satisfaction.

Hide full review
ComplaintsBoard
M
2:45 pm UTC
Verified customer This complaint was posted by a verified customer. Learn more

Standard Chartered Bank manipulation of funds. breach of trust

Rs (1) lakh transferred from my personal account for an investment with bajaj allianz, without my approval by bank manager and staff member. immediate alarm expressed to the bank manager. after several calls and letters to the bank manager, till today, no response from bank manager about return of funds. written to the head office customer care standard chartered bank on 28th and 30th march. no concrete response received till date, only emails received stating "we are in receipt of your letter."

Read full complaint
Hide full review
ComplaintsBoard
S
5:20 pm UTC
Resolved
The complaint has been investigated and resolved to the customer’s satisfaction.

Standard Chartered Bank service

This Bank has been a good bank several years ago.. I have seen the service levels dropping over the past thirty years with this institution. Just yesterday, a cheque that I had issued for Dhs.200, 000.00 (About 25 lakh rupees or $30, 000.00 was dishonoured by the bank for strange reasons! I had more than this amount with them, and no one phoned me to check with me or verify with me any details. Obviously I will consider taking legal action against the bank. So beware before you issue large cheque amounts.

Read full complaint
Resolved

The complaint has been investigated and resolved to the customer’s satisfaction.

Hide full review
ComplaintsBoard
Y
9:50 am UTC
Resolved
The complaint has been investigated and resolved to the customer’s satisfaction.

Standard Chartered Bank salary account is not activated

Hi... my name is kumar, i've opended a salary account with standard chartered in bangalore and submitted all the documents. after 20 days also the account is not activated, if I check with the concern person she is telling that she has completed all the formalities from her end after that she is not sure about that, however she had collected all the documents from me.
This is one of the wrost kind of process and service from standard chartered bank.

Read full complaint
Resolved

The complaint has been investigated and resolved to the customer’s satisfaction.

Hide full review
ComplaintsBoard
S
6:07 pm UTC
Resolved
The complaint has been investigated and resolved to the customer’s satisfaction.

Standard Chartered Bank charging of interest.

I have been using Standard chartered Bank since 5 years and also have a salary account with them. I took a loan by converting credit limit of credit card into cash. I had agreed on auto deduct of installment every month and deduction of final outstanding at end of term. At time of last payout, although there was enough balance in my account to clear out dues only minimum due was cleared by bank on due date. I got SMS notification of deduction around 9 am next morning. Whenever I withdraw cash via ATM I get SMS notification in 30 mins however in this case the SMS took a full 14 hrs to reach me. When asked the call center said it is the carrier who bears responsibility.

Once I got SMS i contacted the bank call center asking them why full balance has not been auto deducted. they said we only deduct minimum due which contradicted to what was discussed six months ago. I then immediately cleared all dues via phone banking since internet banking did not function in Internet Explorer 8 browser.

Surprisingly, I was charged finance charges by bank and inspite of my request to the contact center there was no rollback entertained. It looked very cheap to discuss 10 mins to discuss this minor issue for a full 15 mins. When I complained on email they asked to visit their branch to discuss the same. The cost of to-fro travel to the bank was less than amount I was asking to be rolled back. They decided to ignore replying to this point.

Another point is the Standardchartered has a Mail Box facility in the online banking website. All outgoing complaints made by you are never visible in "sent items" folder. Only incoming email responses are seen.

I get constant reminders for going "green" by opting for e-statements instead of paper statements. However they charge 100 AED for a paper statement on demand .Local banks like NBD in UAE only charge 10 AED for similar statement. StanC charges 50 AED for cheques from customer when the new rule was implemented in UAE recently to have forgery protected cheque books. I think it is bank who must bear cost to rollout cheque books instead of passing onto customer.
StanC is "still" working on fixing SEWA online payment since a few years when Mashreq has succeeded. Probably Stanc is not interested in fixing the integration to save some money at cost of inconveniencing customers. I like their punchline "here for good"

Read full complaint
Resolved

The complaint has been investigated and resolved to the customer’s satisfaction.

Hide full review
ComplaintsBoard
H
11:06 am UTC
Resolved
The complaint has been investigated and resolved to the customer’s satisfaction.

Standard Chartered Bank failed transaction, pathetic customer care

I made an online tranaction for a term deposit ( FD) on 4th August, the online confirmation of processing was displayed. However the term deposit was not processed, I contacted the customer care on several occassions, even communicated to head.[protected]@sc.com but no one seems to answer.
They have a pathetic additude towards customers, and with these software bugs one wonder idf the deposits are safe in their hands.
If you have an account with SCB, it time to reconsider - your money is at stake !

Read full complaint
Resolved

The complaint has been investigated and resolved to the customer’s satisfaction.

Hide full review
ComplaintsBoard
S
7:18 am UTC
Resolved
The complaint has been investigated and resolved to the customer’s satisfaction.

Standard Chartered Bank scam documents

Director of remittance department mr. memeh provided me with
Two scam documents in order to press 4, 000.00euros for a remittance
Of my fund.

Dr. hugbert hahn

Read full complaint and 1 comment
View 0 more photos
Resolved

The complaint has been investigated and resolved to the customer’s satisfaction.

Hide full review
1 comment
Add a comment
D
D
dfgrtu
Quanzhou, CN
Send a message
Aug 07, 2010 7:31 am UTC

Dear customers, thank you for your support of our company.
Here, there's good news to tell you: The company recently
launched a number of new fashion items! ! Fashionable
and welcome everyone to come buy. If necessary, please
input: www.onseeking.com We need your support and trust! !

ComplaintsBoard
S
6:48 am UTC

Standard Chartered Bank this is really a fraud case

I just wanted to make public beware & want to raise complaint against Standard Chartered Bank PLC. How there account can be debited without there knowledge. I have a account with Standard Chartered Bank PLC in Bangalore @ cunhummingam Road and credit card issued by them. I pay my credit card payment online whenever I use the card.

All of sudden I see that my saving account was debited for my credit card payment without my knowledge. Wherein I have not given any authority to bank to debit my account. There was no email or confirmation sent to me before debiting my account.

I do agree there was outstanding amount on my credit card, but that was due to bank mistake. They have charged unwanted interests & late charges on my card & I refused to pay the payment. And moreover I don’t get regular statements, from 6 to 7 months I am not receiving any statement for credit card. When I requested for the same and for past one year statement they first refused to send. Then they look 6 months to send one year statement. By the time I got the statement bank have charged too much of interest and late fee charges on my card. When I questioned the same to bank they coolly told bank has all the rights to debit the account. This is really a fraud case.

Hence i would request each one of you to be very careful with you bank account & private banks like this.

Read full complaint
Hide full review
Trust badge
Collect Your Trust Badge
Be recognized for outstanding customer service
Standard Chartered Bank Category
Standard Chartered Bank is ranked 32 among 354 companies in the Banks category