Menu
Write a review
File a complaint
Samsung Profile

Samsung

www.samsung.com

Learn how the rating is calculated

1.7

Overall customer rating from reviews and complaints

Samsung earns a 1.7-star rating from 9 reviews and 1676 complaints, showing that the majority of electronics consumers are dissatisfied with their products.

Claim Your Business
Take control of your profile: address complaints and engage with reviews
Write a review File a complaint

Samsung Complaints Page 69 of 84

ComplaintsBoard
N
8:14 pm UTC
Verified customer This complaint was posted by a verified customer. Learn more

Samsung broke after 3 months

To whom it may concern,

We bought this new led tv just a few months ago (See the unit details below). It simply didn't turn on today. There was no sign or signal of the problem. We are busy professionals and don't regularly watch tv. So we have rarely watched it since the time we got it. But finally this is the time of the year that we have those moments to spare, it's just the week that we can enjoy our valuable free time watching movies on this highly promoted tv, but this samsung led tv just doesn't work! This is the first tv in my life that stops working just like that. It does show the quality of the product or perhaps the quality level of the production. Now we have to spend our holidays taking this tv back to the shop and not knowing when we will get it back. I have to state that it's a great disappointment that such high-priced product can just stop functioning like that. I'd hope the company does take some action to correct this issue, either coming to take this bad unit from home or even replace with a new unit. Though it's still under warranty, I do feel that it costs too much of nerves and time to have to deal with sub-standard product, especially only few months after the purchase. And how would I trust this "samsung" brand anymore?

Thank you for your attention and prompt reaction to the issue
Regards
Naiyana
[protected]@hotmail.com

Product details:
Model: ue32c6500uw
Model code: ue32c65000wxxh
Type no: ue32c6500
S/n: z6uw3skz300065

Read full complaint and 9 comments
View 0 more photos
Hide full review
9 comments
Add a comment
M
M
Mohammed mamula
Hyderabad, IN
Send a message
Sep 08, 2014 12:22 am UTC

when we start TV to watch after 10 min 3 option come on the display ''DIGITAL NOISE FILTER ON" as shoen in the picture.. so what is the solution to remove it permanetly...

S
S
sudhor kumar sharma
IN
Send a message
Jan 22, 2014 1:51 am UTC
Verified customer This complaint was posted by a verified customer. Learn more

Dear Sir,

My daughter had purchased a LED TV, Model No. UA39EH5003R from M/s. Super General Trading Co., L.L.C., Behind Old HSBC Bank, Naseer Square, Deira, Dubai, U.A.E., P.O. Box: 322 (Telephone 2219495 & Fax 2214779) on 01.04.2013 vide Cash Memo AE No. 18304.

It is to inform you that when the above LED was installed on 28/04/2013 by Service Engineer at my home, then I’ve observed that a TWO INCH HORIZONTAL lines is appearing permanently in the centre of TV Screen and after 2-3 days, the said LED was closed permanently. In the matter, I immediately called up the customer care to check on what is the problem and wanted them to check. I was told that since it was without warranty and I have to pay Rs.5, 000/- towards visit of Service Engineer to find out a problem only.

After 10 minutes, I got a call from one of their engineers and I briefed him of the problem, upon which he seem to have already known the problem and some cost would be incurred to change a panel. I wasn't sure which panel he was talking about? I enquired further on what would be the exact cost to replace the same upon which he said he will need to confirm. In next 5 minutes, he called me back and informed the cost about INR Rs.21, 000/- for replacing the panel. Wow... I pause for a while as I was still trying to figure how on earth the repairing cost is so expensive than its purchased price about INR Rs.21, 500/-.
I called up the customer care again to find out if the repairing cost their engineer was quoting was true or not. The customer care doesn't seem to have an idea of the same.

I had a lot of trust for Samsung Product and now with this I do not think I am going to ever buy a Samsung product ever. And I for sure know I am not going to recommend any of my friends to buy one too. Honestly it seems like the whole Samsung team knows of this and they are cheating the customers.

In the matter, very complaints have been made verbally and through e-mail but not succeed.

You are kindly requested to depute Service Engineer to resolve the problem at the very earliest.

Sudhir Kr. Sharma
Dwarikesh Sugar Industries Ltd,
Dwarikesh Nagar (Bundki),
Distt. Bijnor - 246762 - U.P.
Hello: [protected],
Mobile: [protected]
Fax: [protected]
sudhirsharma.dn@dwarikesh.com

S
S
sathishkmr
Vellore, IN
Send a message
Dec 05, 2013 2:50 pm UTC

Hi am sathish i bought a samsung led tv 32 f4100 from viveks showroom on 03/11/2013.
On the very first day i faced a problem usb data transfer is not working fine in the tv. Third day demo person came and gave a demo about the tv and installed the wall mount stand i asked to that person about the how to transfer the usb files and he explained me and tried to transfer files but its not worked properly he said some issue on the tv other technician will come and solve this issue he said. I locked a complaint technician came 08/11/2013 on that time it was fine he said there is no issue on tv its pen drive problem and that complaint was closed. I bought new pen drives but the problem persists randomly.
After two weeks later i noticed a some humming noise coming from tv. I complaint in samsung customer care complaint # [protected] on 21/11/2013 technician came on 25/11/2013 the person who came for pen drive issue mr sugumar he said there is no issue on tv problem is in your house there is no proper ground earth connection and some neutral space interlinking is there something he said after that he gone but complaint still open. I called the electrician and checked the electrical lines electrician said there is no issue with electrical lines i checked the my tv in my friend house there is also same noise coming.
Again i called 1-sam-sung customer care i explained about there is no electrical issue in my house. I asked for refund of my money they sent other technician on 05/12/2013 mr pramoth he saying this sound is normal with all samsung led tv because of design is like that. I informed to tech mr sugumar said some electrical problem but now you are saying this is design fault its common with samsung led tv. mr pramoth (tech) said this is common problem refund is not possible. I asked a written letter about this issue and mention not possible to refund money i deal this with legally he said you contact call centre spoke about this and he leave from my home and i called call centre there is no proper response. Its a worst service from samsung but am sure i take this issue to consumer court i get my refund.

Regards
sathish

R
R
Rita Form Missouri
US
Send a message
Oct 03, 2013 11:51 am UTC

Same Problem. Off and on. No support. Getting the run around. I was even asked to drive the 32 inch smart tv from Missouri to New Jersey. The closest service center. Been two months of calling. Still no shipping label. HELP. Please let me know about this Class Action Law suit.

L
L
lorenzo evans
The Bronx, US
Send a message
Sep 17, 2013 9:13 pm UTC

I Bought a 63 inch TV Back in 2007 it started turning off and on after one hour of use I Called Samsung they never told me about the capacitor issue they where having with the sets I paid over $5000 for this set and now it don't turn on at all I found out about the class action lawsuit and Samsung is not coming clean about the problems they say it small amount sets and my Model is not on the list of sets to be repaired this the Worse Company to buy from

S
S
Starfox7000
Seattle, US
Send a message
Jul 15, 2013 11:41 am UTC

I bought a band new Samsung 65 inch UN65ES8000 on 3/21/2013. On 4/02/2013, it was taking about 1 - 3 minutes to turn on. I called Samsung and they said that was normal for the size of the TV and the applications it needed to load. Well, low and behold, on 7/13/2013, I turned it on and all it does is make a clicking sound about every 40 seconds and nothing happens. It is not powering up at all. This is frustrating and I will never buy another Samsung product. You do not spend $4000 (cost and tax) on a high end product that NOW has to go to repair. And with any repair, you no longer have a "new" product and where there is smoke, there's Fire, so expect more issues with it in the Future. I called Samsung and they gave me a Service Order Number to get it inspected and told me to call their local affiliate to come out and service the TV. I called the affiliate on Monday and guess what, they cannot see the Service Order Number so they will not come out to fix the TV. This is just insane. I am circling back to Best Buy since I am a Premier Silver member with them (yes, I spend a lot of money at that store) and seeing if they will take this junk back and let me get a Panasonic or something else.

T
T
tyche
PH
Send a message
Sep 10, 2012 6:39 am UTC

di na ako bibili ng kahit anong products ng SAMSUNG...samsung jet ng anak ko palaging sira...kahit under warranty pa siya, nakakainis dahil di mo mapakinabangan ng husto. lagi na lang ako pumipila ng sobrang tagal sa service center nila..ubos 1 araw mo para lang ipila sa kanila for repair ang unit.
samsung LED TV series 5, after a year sira na din agad..85 thousand para lang sa 1 year na gamitan ng TV?kalokohan...
service center ng samsung dito sa Philippines, di maaasahan...ilang tawag ko na sa kanila para sa repair, wala ding nagawa..ipapasa lang ako sa accredited service center nila..pasahan na lang ang nangyayari...hanggang ngayon wala pa din silang nagagawa...gagastos daw ako ng halos 20 thou para sa repair...HUWAG Na LANG... buy na lang ako ng mas may quality ...babalik na lang ako sa dati kong brand..ako na ang magsasawa sa paggamit..sulit to the max ang pera na pinambili...

N
N
Narayananmca
IN
Send a message
Jun 03, 2011 12:34 pm UTC

Hi
Not sure i will get a resolution by posting here, i wish i get.
My LED TV broke in 32 days. I am constantly following it up every single day. Please let me know the right place/ person to complaint contact. That would be helpful.
my email id is narayananmca@yahoo.com

T
T
Treatmeright
Calgary, CA
Send a message
Apr 26, 2011 1:08 am UTC
Verified customer This complaint was posted by a verified customer. Learn more

Good luck to you.
My new Samsung 3D plasma TV die after 42 days. I have been waiting for service since Dec 3, 2010 - 145 days ago. The "Service Call Center" is useless & lied constantly.
On April 1st (day 120), someone from Samsung Electronics Canada called to offer me a Service Exchange. After another 25 days, nothing happens. She will not response to my phone messages & emails. Calling to the "Service Call Center" results in another 30+ minutes of lies. The person even told me they will have a NEW unit ship to me in 2 days.
However, we are supposed to get a "RA Credit" issued to FutureShop to do an exchange locally. So many times they told us something are coming in 3 weeks, then they changed the story so I need to call the "Service Call Center" again. My service ticket: [protected]
Can you imagine 145 days without a TV, after you paid for it. I wish you luck.
We as consumers have to come together to protect our rights.

ComplaintsBoard
R
1:35 am UTC
Resolved
The complaint has been investigated and resolved to the customer’s satisfaction.

Samsung no activation/runaround customer service

Ordered this phone for christmas for my son, only to find out that this is the worst company ever. The phone never got activated and got a new person everytime I called customer service which had me perform the same tests, codes and calls the each of the previous people had me do, always putting you on hold and never fixing the problem. So I finally told them to stick it up their @$%* & and give me a credit. I had been on the phone enough just in the 4 days that I had it and couldn't take it anymore. I would rather sign a 50 year contract with a good company that deal with these people again.

Read full complaint
Resolved

The complaint has been investigated and resolved to the customer’s satisfaction.

Hide full review
ComplaintsBoard
T
5:27 pm UTC
Resolved
The complaint has been investigated and resolved to the customer’s satisfaction.

Samsung missing parts

I purchased a samsung dvd player for my husband's birthday the remote control was not in the box when he opened it 5 days after I bought it. I called the store where I bought it and they could do nothing. I called nsamsung and because it was more than 2 days since I bought it they could do nothing. Samsung expected me to buy a remote even though it should have come with the dvd player in the first place. And no where on the box, in the manual or on the player itself did it say anything about having 2 days to complain about the product. Samsung does not stand behind their products the just like to rip off their costumers.

Read full complaint
Resolved

The complaint has been investigated and resolved to the customer’s satisfaction.

Hide full review
ComplaintsBoard
G
7:23 am UTC
Resolved
The complaint has been investigated and resolved to the customer’s satisfaction.

Samsung poor srevice and response in samsung customer care centre

Hello sir,
Give your attention for your customer please.
I am g. Rajan, joined in your customer list by purchasing a samsung mobile, model no c3212 for rs 4000 / - at poorvika mobile private limited, pallavaram & ndash; chennai - 43. The mobile started giving problem after third month as given below one by one and still it is given for service in your authorized service station at thambaram (Techno care) , chennai & ndash; 45.
Approached poorvika mobile and given for service to the authorized service dealer
1. In 3rd month & ndash; display problem
2. After 15 days - hang-up problem
3. The above two problems attended by mobile world chrompet your service station recommended by the poorvika mobile private limited where I purchased it. Repeatedly the same problem accurse and finally they formatted the software and again loaded. I have lost all the function in the mobile including calculator and special function loaded for this mobile by samsung and the same problem repeated for three times again and again.
4. At last I enquired thro poorvika and got the address of tambaram mobile service dealer techno care and here also after the service I got the again hanging problem. They said the mother board has to be replaced and it will take 20 to 30 days time (Mobile given to service today i. E. 15/12/10).

Date of purchase : 22.3.2010

20 & ndash; 40 days kept with the service station for service at various times and

Again now for 20 & ndash; 30 days to replace the mother board the mobile will be with the service station as per the service personal statement.

More than 20 times up and down transport expenses from my residence (Maraimalai nagar to tambaram 20 kms, and to chrompet 26 kms) and telephone enquiries and even the problem not yet rectified. The working hours of the service station is 9.00 am to 6.00 pm in tambaram and this is the time for us to go for office and every time I have requested my higher official for permission / leave to give and to collect the mobile after service. Is it possible for me?
Now sir please think of me, I have purchased this mobile (Dual sim) only to use with enjoyment and not for investment purpose. For a middle class family like me this is too much of headache and how we have a faith of your products. I requested the poorvika mobile private limited to replace the mobile but they refused and again they recommended to go for another authorized service dealer at tambaram. Here also the same struggle is continuing and what I want to do further? The warranty will go in another three months. The used time may be in hours or some days only. Please give a favorable reply for me and please concentrate in your service part also to help your valuable customers.
Regards
G. Rajan

Read full complaint
Resolved

The complaint has been investigated and resolved to the customer’s satisfaction.

Hide full review
ComplaintsBoard
S
6:46 am UTC
Verified customer This complaint was posted by a verified customer. Learn more

Samsung mother board replacement

We have purchased samsung - duos - sch-259 dated 26.09.2010 but unfortunately after few days a hand set hanged on dated 10.12.2010, we have given the complaint to samsung dealer mobizone, metro plaza, meerut city - u. P, they have formated and re-installed the software, but after few hours on the same day the hand set comes back to service centre for the same problem theay now suggest us that go to another samsung service centre as we have lot of work load for repairs it seems that they do not want to take warranty repairs in thier shop. We request them to give us standby mobile phone as we are using two connection in this phone and our business get disturbed they asked for 15 days to replace the mother board, kindly let me know who will resposible for this type of bad products

Read full complaint and 2 comments
View 0 more photos
Hide full review
2 comments
Add a comment
M
M
mary joy ortega calma
PH
Send a message
Jun 02, 2014 3:24 am UTC

My store was robbed last may 27, 2014 many of my important documents was taken including my phone.My samsung duos with emei [protected]/01, [protected]/01.please inform me as soon as possible any information regarding my complain.

S
S
sriks23
Bengaluru, IN
Send a message
Apr 04, 2013 11:43 am UTC

Better not to buy any samsung products as their servicing is worst

ComplaintsBoard
A
3:49 pm UTC
Resolved
The complaint has been investigated and resolved to the customer’s satisfaction.

Samsung poor service

I had purchased a samsung mobile phone (Model no. E 2130) from nu - york, 1, r. N. Mukherjee rd. , kolkata - 700001 on 05. 05. 2010. On 18. 11. 2010, the display of the mobile suddenly started blinking, on the next day, i. E. On 19. 11. 2010, i went to karuna management services pvt. Ltd. , authorised samsung service centre, meridian plaza i, 207, c. R. Avenue, 2nd floor, kolkata - 700006 for repairing the same as the warranty period exists. (Sl no. Rd92295915h, imei / rsn no. - [protected]) i have deposited my mobile but without any information about the type of fault as no engineers were available at that time. After several contacts, i have made over the telephone, on 23. 11. 2010, i was told that the problem is in the mother board and the mother board is required to be changed. Though i have given two mobile nos. (Open for 24 hours a day) , the service centre did not bother to inform about the whereabouts of the mobile. During the period from 24. 11. 2010 to 10. 12. 2010, me & my wife had contacted several times over the phone and were told that no new mother board of the model was available. On 11. 12. 2010, i have contacted the service centre no. ([protected]) and was told to contact with ms. Sampa sarkar, manager of the service centre. I contacted ms. Sarkar over the phone soon and was told to receive the mobile on the same day, i. E. On 11. 12. 2 - 10 after 5. 30 pm. I went to the service centre and informed about my discussion with ms. Sarkar. Ms. Sarkar was not in the office at that time and i was told that i would receive the mobile only on next wednesday. When i argued, i was told to wait for half an hour. I got the delivery at 7. 00 p. M. When doors of the service centre were about to shut down. I had requested a person of the centre to enter my sim card in the mobile and he did so. At that time, the problem was not there. Today, i. E. , on 12. 12. 2010 at around 1. 00 p. M. , the mobile started blinking again. Soon, i contacted the service centre over the phone and was told that after first service this type of fault occurs often. I was also told that this type problem is very common in e 2130 model. I was told to contract the manager tomorrow. I have purchased the mobile for rs 2850 / - from my hard earned money. What shall i do ?

Read full complaint and 2 comments
Resolved

The complaint has been investigated and resolved to the customer’s satisfaction.

Hide full review
2 comments
Add a comment
S
S
saurabh jadhav
IN
Send a message
Dec 01, 2010 5:17 pm UTC
Verified customer This complaint was posted by a verified customer. Learn more

i lost my samsung s3310 metro phone at time of travel so i req to help me

M
M
MANNUDIGOLIYA
IN
Send a message
Oct 15, 2010 2:01 am UTC
Verified customer This complaint was posted by a verified customer. Learn more

I buy a mobile (Samsung metro3310) on 5th oct. 2010. But not diliver yet.

ComplaintsBoard
U
4:30 am UTC
Verified customer This complaint was posted by a verified customer. Learn more

Samsung printer cartridges

The black toner cartridges k409 for the printer specified above are supposed to last for 1, 500 pages, but I can usually print about 500 pages, and *in draft mode*...

I made an enquiry with all the details and the only reply I got was what model the printer is, although I had specified the model in the online form.

After that (And I did kindly reply with the model specs, although I had already given them all the details) , I haven't heard from them, not even to know if they got my email. (As I didn't get a reply after my second email I asked them if they got my email, still no reply... )

I print a lot of music and I did ask them if music perhaps needs more ink, but I didn't get any assistance.

Read full complaint
Hide full review
ComplaintsBoard
S
12:23 am UTC
Verified customer This complaint was posted by a verified customer. Learn more

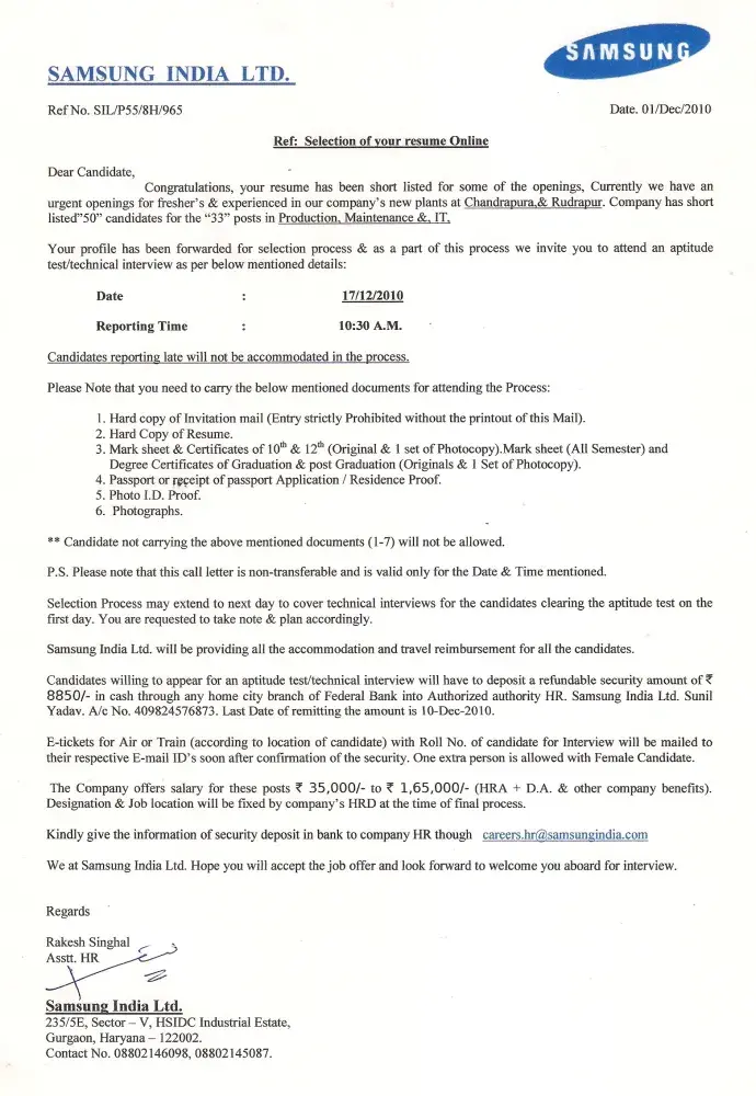
Samsung fake call letter for job asking for deposit

I had received the following letter in response to my CV submitted to some jobs website.
Dear Candidate,
Your resume is shortlisted online for some of the vacancies in our company. Interview letter is attached herewith, kindly go through it for further details.
Regards.
HRD.
The place of interview was not specified but they were keen on the deposit of Rs.8850 by cash in the account A/C No. [protected] in the name of Sunil Yadhav. I have attached the copy of the scanned letter

Read full complaint and 2 comments
View 0 more photos
Hide full review
2 comments
Add a comment
R
R
rbrgsharma
Nuremberg, DE
Send a message
Jul 02, 2012 2:51 am UTC
Verified customer This complaint was posted by a verified customer. Learn more

i have also received similar letter today asking for deposit of Rs.9400

R
R
ravi rr
Bengaluru, IN
Send a message
May 26, 2011 11:51 am UTC

this is the new contact no of sunil yadav [protected], [protected]

ComplaintsBoard
M
9:12 pm UTC
Resolved
The complaint has been investigated and resolved to the customer’s satisfaction.

Samsung service department failures

I have recently received response to my shipped mutlifunction scanner problem. The unit was damaged in shipping, one month ago. The response I received yesterday and today was that it was damaged by ups, their shipping partner, and that my more broken unit is being returned to me. Thanks.
This is the age of passing the buck when it comes to customer service, but I have to say, that samsung one upped it this week.

I am extremely displeased with their lack of solutions offered, cold and internally worded response (Oow etc. Which I believe means that it is now out of warranty). Samsung, the manufactures, staples, the partner supplier and ups the shipping, share blame, but it appears not one is looking to share ownership for a solution for a customer who is now out $250 for a multifunction printer/scanner that never really worked. Thanks samsung, you are brutal.

Samsung message to me yesterday, first message I have received regarding my printer shipped over a month ago,
Hi,

Please be advised

As per the receiving department

This unit is oow and also damage in transit to hinet, pictures attached, I still waiting for the pop from this customer, unit still waiting on invalid
The reasons unit became damage on transit was:
-improper box, not original and not adequated for the product size and weight
-no packing stuff (Paper is not acceptable)
-no corners or edges protection

Under this condition, ups will deny any claim submitted on this condition.

The unit is ready to be send back per physical damage

Thanks

Read full complaint
Resolved

The complaint has been investigated and resolved to the customer’s satisfaction.

Hide full review
ComplaintsBoard
G
10:04 am UTC
Verified customer This complaint was posted by a verified customer. Learn more

Samsung response from costomer care

job card number-3824. problems- 1. 4, 5, 6 numbers not working on touch. 2. if i open the slide to type sms there was a software error comes on the display. 3. i cant hear the incoming and out going calls voice. response from the service centre was they took the mobile for the past 15 days and they rectified only the 4.5.6 numbers touch function. i have surrendered the mobile to the service centre on 12.11.2010. they lost the camera key. suddenly i asked them where is the camera key like that. then once again they gone inside and arranged the other mobile camera key to my mobile. but they lost my mobile key. but after all that my mobile is still under the same problem. software not installed and i dont know whether the strip was changed or not. and i cant voice of calls.still now i am speaking through the open speaker. all the buttons in the keypad was gone inside the frame. while i am asking about that they are telling reason was, strip was changed to your mobile thats why it is like that. if you use continuosly it will be ok like that. after all that there was one new problem occurs on my mobile that was when i use to touch the display it was faded. like the waves coming on the display. then i today gone to service centre to solve the problem once again. again they asking my mobile for service. this is the response from the service centre.

Read full complaint
Hide full review
ComplaintsBoard
S
8:51 am UTC
Verified customer This complaint was posted by a verified customer. Learn more

Samsung battery issue

I have purchased a samsung galaxy 3 ( GT-I5801) last month from the mobile stores, hosur. Ever since, I am having an issue with the battery. The battery life shows 70% and in another 10 ~ 15 minuted, it says battery empty. I have not even activated APN and not using any other applications other than simply using for calls like a an ordinary phone and even then the battery life is poor and misguiding with the status. It is highly unpredictable and feels like any time I may be out of contact.
I have referred this problem to samsung and they have asked to go the nearest service point. They have collected the invoice details and phone reference and indicated taht they will call after 3 days. Even after one week, they are not responding. I have also informed to samsung help line and no constructive response.

Sivaram.
psiva.[protected]@gmail.com

Read full complaint
Hide full review
ComplaintsBoard
J
5:55 am UTC
Resolved
The complaint has been investigated and resolved to the customer’s satisfaction.

Samsung poor appliance and customer service

Beware anyone with aspirations of purchasing a Samsung refrigerator! I have had problems with my Samsung, model #RS556SH, and according to the information I have found online, it seems Samsung is not a reliable refrigerator manufacturer. Not only that, but their customer service absolutely stinks! I have had three problems with the refrigerator side of my Side-by-Side, and it is only five years old. My Best Buy extended warranty just expired, and the same problem is occurring again! I called Customer Service and they won't even sent a repairman out without charge because the manufacturer's warranty just expired. This is a well known problem, according to the Best Buy Geek Squad. The last repairman I had out here from Best Buy says that they get calls all the time for my model. I was hoping the company would offer me some relief. Any American company would have recalled such a poor product, but they refuse to even acknowledge that there is a problem with their appliance, which is directly related to their POOR design. Look online at customer complaints before purchasing anything Samsung, but especially refrigerators. This company will NOT stand behind their product. Lucky for me, I purchased an extended warranty from Best Buy, or this $1300 appliance would have already cost me over $2000! Regardless, I have lost time from work in order to wait and have my problem diagnosed, parts to be ordered, and a return visit to finally fix the problem. Refrigerators should be RELIABLE appliances, which last for 15 to 20 years with minimal repair, if any! This is VERY poor customer service and appliance reliability. Don't buy a Samsung, (unless you have money to waste).

Read full complaint
Resolved

The complaint has been investigated and resolved to the customer’s satisfaction.

Hide full review
ComplaintsBoard
R
3:36 am UTC
Resolved
The complaint has been investigated and resolved to the customer’s satisfaction.

Samsung not fitted

We are 2 friends were purchased in cash 2 nos 40" samsung led 40c500 tv from reliance digital retail limited, city center mall, nashik by order no. [protected] 0n 1 non. 2010 with the assurance that samsung will come and do a wall mount install within 2 days. 1 piece was mounted with fixtures in product box but my tv is not fitted still now on date 20. 11. 2010 due to non availability of fixtures. I have called their service number every day and each time, some one will be give me the assurance that a service engineer will come in 24 hours. It has three weeks. I am very disappointed from samsung, as purchase of very established & trusted samsung product. I want to change led tv with fixtures packed in product box. Otherwise in future i will not purchase samsung products & convey this massage to all my relatives & friends.

Read full complaint and 2 comments
Resolved

The complaint has been investigated and resolved to the customer’s satisfaction.

Hide full review
2 comments
Add a comment
S
S
stacey whitney
Canastota, US
Send a message
Oct 25, 2010 6:33 pm UTC

This goes with the complaint i made my phone is a samsung sgh t4001g

P
P
pritesh shinde
IN
Send a message
Nov 28, 2012 7:27 pm UTC

i was purchased in cash 26" Samsung LED 4000 TV from Samsung plaza, Pune by 0n 13 Non. 2012 with the assurance that Samsung will come and do a wall mount install within 2 Days. but my TV is not fitted still now on Date29.nov.2012 due to non availability of fixtures. I have called their service number every day and each time, some one will be give me the assurance that a service engineer will come in 24 hours. I am very disappointed from SAMSUNG, as purchase of very established & trusted SAMSUNG product.
So I request You plz inst. my Led in My home and give me resolution.
my email id = pritshinde96@gmail.com
My cell no= [protected]

ComplaintsBoard
R
8:56 am UTC
Verified customer This complaint was posted by a verified customer. Learn more

Samsung defective lcd tv

I am based in india and was visiting singapore in the month of jun 2010. I had purchased a tv from kio indpark 2 on 17 jun 2010. The details are as follows:-

Dealership - gain city
Amk showroom
8 ang mo kio industrial park 2 singapore - 569500

Tax invoice no - psinv-[protected]
Tax invoice date - 17 jun 10
Sales person - leo toh/1039
Transaction no - t0020514
Description model - samsung lcd tv 37 inch, la37b530p7mxxs
Serial no - bj4k3mrz200211m
Cost - 799 sgd
At the tme of purchase I was told that the tv would have international warranty. After use of just about 5 months the tv has become defective here in india. Whwn I took it to the local samsung service centre here in visakhapatnam, india I was tld that the tv has no international warranty as no international warranty card has been given to me by the sales person. I have been told that the lcd panel itself has become defective and it will cost me about 25000/indian rupees almost equal to 800 sgd same as the purchase cost of the tv. I am shattered by the deceitful behaviour of the sales team where in I have been intentionally duped by selling a defective tv and by not being give the promised international warranty. I have been calling the feedback hotline from here but have not got any positive response from anyone rather everytime I m told that someone would call me back. I am writing to you with the sincere hope that my issue will be addressed at the earliest by communicating with the local service centre whose address is given below

Samsung electronics
Authorised samsung service centred. No. 52-10-10/1/6 first floor
Aspen towers, resapuvanipalem,
Visakhapatnam, india - 530 013
Tel : (Country code) 0091 - (State code) 891 - (Tel) 2549586 or 2598113

You are requested to intimate me the final decision on the subject and to the local servicing centre at the earliest

Sender:-
Lieutenant commander rajneesh kumar dalal
Address: -

17 padmini, naval park, near naval base, visakhaatnam, india - 530014

Tel : (Country code) 0091 - (State code) 891 - (Tel) 2811462

Cellphone - 0091-[protected]

I was visiting the great city of singapore and I thought may be buying a samsung tv wont be bad idea since samsung products were supposed to be more reliable. So I found out a dealership and ordered a 37 inches lcd tv costing me 800 dollars. I came back to india and started using the tv, it ran fine for 2 months and then just one night the screen went blank. I called the local authorized service centre and the samsung helpline. I was told to send the tv to the service centre. After one day I was told that lcd panel and the pcb of the tv has gone bad and needs to be replaced. And the tv has been purchased in singapore hence it can not be done under warranty and I would have to pay a sum of rs 25000 in cash if I wanted it to be repaired. This is such a bull ###. You buy a product from a multinational company, which sells it on the name of international warranty. Fill a warranty card and then it turns out its not even valid in india. So one has to shell out double the cost in less than 3 months. Samsung company you are such a pity and I am going to spread awareness about your products using all means including internet on everysite to show how you treat your customers.

Place of purchase
Dealership - gain city
Amk showroom
8 ang mo kio industrial park 2 singapore - 569500
Tax invoice no - psinv-[protected]
Tax invoice date - 17 jun 10
Sales person - leo toh/1039
Transaction no - t0020514
Description model - samsung lcd tv 37 inch, la37b530p7mxxs
Serial no - bj4k3mrz200211m
Cost - 799 sgd

Local authorised service centre
Samsung electronics
Authorised samsung service centred. No. 52-10-10/1/6 first floor
Aspen towers, resapuvanipalem,
Visakhapatnam, india - 530 013
Tel : (Country code) 0091 - (State code) 891 - (Tel) 2549586 or 2598113

Thanks for using complaints india
Defective lcd tv within 3 months of purchase not being repaired
Complaint id: 7251 2010-11-16 posted by: rajneesh
Your complaint code is:7251. Please note this down.
"you will need the complaint code to check status of your complaint. "

I am based in india and was visiting singapore in the month of jun 2010. I had purchased a tv from kio indpark 2 on 17 jun 2010. The details are as follows:-

Dealership - gain city
Amk showroom
8 ang mo kio industrial park 2 singapore - 569500

Tax invoice no - psinv-[protected]
Tax invoice date - 17 jun 10
Sales person - leo toh/1039
Transaction no - t0020514
Description model - samsung lcd tv 37 inch, la37b530p7mxxs
Serial no - bj4k3mrz200211m
Cost - 799 sgd
At the tme of purchase I was told that the tv would have international warranty. After use of just about 5 months the tv has become defective here in india. Whwn I took it to the local samsung service centre here in visakhapatnam, india I was tld that the tv has no international warranty as no international warranty card has been given to me by the sales person. I have been told that the lcd panel itself has become defective and it will cost me about 25000/indian rupees almost equal to 800 sgd same as the purchase cost of the tv. I am shattered by the deceitful behaviour of the sales team where in I have been intentionally duped by selling a defective tv and by not being give the promised international warranty. I have been calling the feedback hotline from here but have not got any positive response from anyone rather everytime I m told that someone would call me back. I am writing to you with the sincere hope that my issue will be addressed at the earliest by communicating with the local service centre whose address is given below

Samsung electronics
Authorised samsung service centred. No. 52-10-10/1/6 first floor
Aspen towers, resapuvanipalem,
Visakhapatnam, india - 530 013
Tel : (Country code) 0091 - (State code) 891 - (Tel) 2549586 or 2598113

You are requested to intimate me the final decision on the subject and to the local servicing centre at the earliest

Sender:-
Lieutenant commander rajneesh kumar dalal
Address: -

17 padmini, naval park, near naval base, visakhaatnam, india - 530014

Tel : (Country code) 0091 - (State code) 891 - (Tel) 2811462

Cellphone - 0091-[protected]

I was visiting the great city of singapore and I thought may be buying a samsung tv wont be bad idea since samsung products were supposed to be more reliable. So I found out a dealership and ordered a 37 inches lcd tv costing me 800 dollars. I came back to india and started using the tv, it ran fine for 2 months and then just one night the screen went blank. I called the local authorized service centre and the samsung helpline. I was told to send the tv to the service centre. After one day I was told that lcd panel and the pcb of the tv has gone bad and needs to be replaced. And the tv has been purchased in singapore hence it can not be done under warranty and I would have to pay a sum of rs 25000 in cash if I wanted it to be repaired. This is such a bull ###. You buy a product from a multinational company, which sells it on the name of international warranty. Fill a warranty card and then it turns out its not even valid in india. So one has to shell out double the cost in less than 3 months. Samsung company you are such a pity and I am going to spread awareness about your products using all means including internet on everysite to show how you treat your customers.

Place of purchase
Dealership - gain city
Amk showroom
8 ang mo kio industrial park 2 singapore - 569500
Tax invoice no - psinv-[protected]
Tax invoice date - 17 jun 10
Sales person - leo toh/1039
Transaction no - t0020514
Description model - samsung lcd tv 37 inch, la37b530p7mxxs
Serial no - bj4k3mrz200211m
Cost - 799 sgd

Local authorised service centre
Samsung electronics
Authorised samsung service centred. No. 52-10-10/1/6 first floor
Aspen towers, resapuvanipalem,
Visakhapatnam, india - 530 013
Tel : (Country code) 0091 - (State code) 891 - (Tel) 2549586 or 2598113

Thanks for using complaints india
Defective lcd tv within 3 months of purchase not being repaired
Complaint id: 7251 2010-11-16 posted by: rajneesh
Your complaint code is:7251. Please note this down.
"you will need the complaint code to check status of your complaint. "

Read full complaint
Hide full review
ComplaintsBoard
D
5:37 pm UTC
Verified customer This complaint was posted by a verified customer. Learn more

Samsung after sale complaint

I had purchased a washing machine but even after passage of 20 days no one frm comapny has come up to give demo and when I have contacted to the dealer he replied in very bad manner that it is not his responsiblity to send request fr the same
Address of the dealers shop : rahul refrigeration, shop no. 25 south patel ngr mkt new delhi 8

Read full complaint and 2 comments
Hide full review
2 comments
Add a comment
A
A
A Uthayagopal
QA
Send a message
May 10, 2010 4:44 am UTC
Verified customer This complaint was posted by a verified customer. Learn more

It has been 8 days till today and my samsung washing m/c has not been returned by the service centre of Samsung. The machine was shaking vigourously while rotating and water leakage too. The machine was sent to repair on 3. 5. 2010.

C
C
CMVdesigns
Sunrise, US
Send a message
Sep 30, 2014 11:09 am UTC

Washer just 3 yrs old and the finish is rusting . Not covered by warranty and was told is it considered a "cosmetic" issue. I am the only one who uses the machine for my husband and myself . Our service man advised us to call Samsung and said it looked like the metal was defective. Samsung would not resolve issue. Said they would send a service man to look but I would have to pay for the call. I asked why would I do that-pay and be told it wasn't covered? Unbelievable! I have had a number of appliances over the years and have NEVER EVER had this problem. Will not buy anyhting from Samsung again.

ComplaintsBoard
R
3:19 pm UTC
Verified customer This complaint was posted by a verified customer. Learn more

Samsung mobile phone missing

Name: r. Senthil kumar
Address: 12/10-1, 5-phoenix, premier colony,
Anbu nagar, madukkarai market (Po) ,
Coimbatore, tamil nadu, india.
Pincode - 641 105
Phone model: 3310
Make: samsung
Last used no: [protected]
E-mail for communication: [protected]@gmail.com
Missed date: november 8 th, 2010
Imei no: [protected]

Read full complaint and 2 comments
Hide full review
2 comments
Add a comment
abdul latheef  p.v
abdul latheef p.v
IN
Send a message
Dec 30, 2013 1:52 am UTC
Verified customer This complaint was posted by a verified customer. Learn more

payyur valappil
perumannur, po
chalissery, via
palakkad, dt.
679536

abdul latheef  p.v
abdul latheef p.v
IN
Send a message
Dec 30, 2013 1:41 am UTC
Verified customer This complaint was posted by a verified customer. Learn more

i lost my samsung galaxy s2 on 26th dec.2013 at chavakkad
IMEI no. 354155/05/692918/9
last dialed no. +[protected]
contact no. +[protected]
e-mail. lathu786@gmail.com

ComplaintsBoard
G
6:01 am UTC
Resolved
The complaint has been investigated and resolved to the customer’s satisfaction.

Samsung on site demo

Sir, I purchased a microwave oven micro gw73bd-b from vishal tv care fatehabad (haryana) india vide bill no.1615 dated 16-10-2010 and from the day of our purchase we are requesting to give demo for the functioning of the appliiance. we requested to the service centre of the company through the dealer as well myself also contacted the customer centre many time telephonically and every time service centre representative asked me to contact on number [protected] and then [protected] but these numbers were not available. then again contacting the s. c. i was asked to contact on the number [protected] and I contacted mr. hanuman sharma on this number on 3-11-10 and he assured me for the demo on the same but no one turned up. i again contacted the s. c. on 10-11-2010 and they noted my complaint number [protected] and after some time mr. rambir contacted me and assured to give the demo on that day i. e.10-11010 bu again no body came. i am say that the microwave is lying at our home asm showpiece and we cannot use that without proper guidance. kindly look into it and arrange the on site demo so that we can start using the appliance and also please take action againt the persons who have not taken my reuqest seriously.
Thanking you,
gurnam singh
[protected]

Read full complaint
Resolved

The complaint has been investigated and resolved to the customer’s satisfaction.

Hide full review
ComplaintsBoard
J
9:00 pm UTC
Verified customer This complaint was posted by a verified customer. Learn more

Samsung I lost my mobile

I lost my mobile on [protected] near melpakkam (Avadi) and I have raised a compliant in police station,
I have sent a mail to [protected]@vsnl.Net on 10-11-2010, thier is no reply whether they receive the mail or they need any additional information, so please trace my mobile.

Hi,

I have lost my mobile on [protected] near melpakkam (Avadi) , kindly trace and do the needfull, find the details of the mobile.

I have raised the complete in avadi station for the lost mobile and kindly reply me thier is any chance to get the lost mobile.
The last used no by me is [protected] and I have blocked the number get the number back and im using the same, you can contact me through this number ([protected])

Address : s. James raj (no : 4 kasthuri bai nagar, 3rd cross street avadi, ch : 54)

Phone model : samsung corby

Make : samsung

Last used no : [protected]

Email for communication : mailto:jamesraj1. [protected]@tcs.com and mailto:[protected]@yahoo.com (please send reply to both mail ids)

Missed date : [protected]

Ime no : [protected] (358040/03/010359/6)

James raj s

Read full complaint and 13 comments
Hide full review
13 comments
Add a comment
A
A
Arun khanna
IN
Send a message
Jan 09, 2011 7:01 am UTC

We bought a samsung corby POP mobile no. GT-C3510XKAINS on 16-07-2010 from samalkha, panipat and now we are facing a lot of problem due to its improper functioning. We have gone to the costmer care office many times but they always do some temporary arrangment and we again face the same problem. Please accept this kind request and help us.

S
S
Sadikminsariya
IN
Send a message
Jun 28, 2010 6:10 am UTC

Your name: Sadik Ali Salim Minsariya

Address: b2/701, akshay park, Anju developers, anjur phata, bhiwandi-421302
Phone model: c-3510
Make: Samsung corby
Last used No.: [protected]
E-mail for communication: sadikminsariya@gmail.com
Missed date: 26/06/2010 at 6.45 pm

IMEI No.: [protected]

N
N
nutan anand wade
IN
Send a message
Nov 26, 2012 10:17 pm UTC
Verified customer This complaint was posted by a verified customer. Learn more

Nutan anand wade, virar [mumbai
Model no. - gt – s3653
Imei no. - [protected] / 8
Email id - nutan879@gmail.com
Date of lost - 26 / 11 / 2012
My no. - [protected]
Plz sir, help me to find out my hand set location

V
V
vibhor jain001
Bengaluru, IN
Send a message
Feb 02, 2012 8:15 am UTC
Verified customer This complaint was posted by a verified customer. Learn more

i m a vibhor jain my sister's mobile (samsung corby) has been lost 27/1/2012 in delhi. the mobile IMEI no. is [protected].

R
R
R Rakesh
Kottayam, IN
Send a message
Oct 29, 2011 12:15 pm UTC

sir i missed my mobile phone (Samsung Corby) today morning now i call to my number is switched off so plz take action.

A
A
ajeya
Ghaziabad, IN
Send a message
Jun 01, 2011 9:50 am UTC
Verified customer This complaint was posted by a verified customer. Learn more

Your name: vasudha saxena
Address: 808, prangan appartments, b 9/10, sector 62, noida
Phone model: samsung corby
Make: toch screen, white
Last used No.: [protected]
E-mail for communication: saxena_mini@ymail.com
Missed date: [protected]
IMEI No.: [protected]

S
S
sai raghu
SG
Send a message
May 25, 2011 8:21 am UTC

Iam sai raghu, i lost my mobile on 23rd may 2011 at secunderabad railway station at around11pm.the details are as follows..
color-Noirblack with yellow on back
serial number- *351660/04/000785/4*
if found please contact to sairaghu@gmail.com, [protected]

C
C
carlito cayetano
QA
Send a message
Sep 23, 2011 9:00 am UTC

i have recieve a sms messesge regarding the aount i've won, 200, 000 gbp.

K
K
korapaluswathi
Hyderabad, IN
Send a message
Feb 24, 2011 7:37 am UTC
Verified customer This complaint was posted by a verified customer. Learn more

I have lost my mobile in auto at Miyapur on 23rd feb around 12:00 Pm

C
C
chenchu
IN
Send a message
Dec 27, 2010 3:26 pm UTC

hello sir i lost my mobile on 27-12-2010. i want to trace my mobile.

ComplaintsBoard
M
1:47 pm UTC
Resolved
The complaint has been investigated and resolved to the customer’s satisfaction.

Samsung customer service

Omg! I just spent nearly an hour on the phone with samsung, the maker of my cell phone, trying to find out how to use the speakerphone feature!... When the first two ###s couldn't answer my question, they told me my phone doesn't have that feature!... When I told them I know for a fact it does, they shoved me off on someone else... Finally I spoke to a 'tech supervisor' who didn't know how to turn the feature on either!... I finally hung up in disgust and figured it out by trial and error! Everyone there was rude and stupid and totally incompetent...
Millions of smart, hard working people unemployed in this country, and jobs are going to ###s!
I will never purchase a samsung product again, ever...

Read full complaint and 2 comments
Resolved

The complaint has been investigated and resolved to the customer’s satisfaction.

Hide full review
2 comments
Add a comment
O
O
Oregon Diane
Kennewick, US
Send a message
Oct 17, 2015 9:58 am UTC
Verified customer This complaint was posted by a verified customer. Learn more

I purchased a new Galaxy S5 had trouble with it and Samsung would not replace it with a new one told me I could only get refurbished.. I paid for a new phone, when I had to settle for the refurbished they did not even replace it with the same color I purchased, Now refurbished one has trouble it is there software and still will not give me what I paid for and it is still under warranty customer service is RUDE and I agree with others view point on there service people. . I will never buy a Samsung product again Beware people. They will take your money but do not stand behind there products. Now I am out of a phone for more than two weeks and have to go through setting up the phone again for the third time

R
R
R L Harrison
Queens, US
Send a message
Dec 14, 2011 3:05 am UTC

WAS A VERIZON PRODUCT 2 YR PLAN. WAS ON MONTH TO MONTH. WHEN I FINALLY NEED TO USE PLAY VERIZON TELLS ME I HAVE NO RECORD OF INSURANCE HAD TO BUY NEW PLAN NEW PHONE WAS TREATED AS A WALK - IN WAS GIVEN REBATES WHICH SAID REBATES WILL NOT KICK IN TILL JAN. FROM VERIZON. BOUGHT PHONE IN AUGUST. < AND WOULD NOT HAVE GOTTON THE SAID REBATED IF I HAD NOT CALLED TO COMPLAIN. SOMETHING SHOULD BE DONE! IF U BUY A PRODUCT ONLINE. AND THE INSURANCE WITH IT PAY FOR IT FOR OVER 4-5YRS. TILL AUG. OF 2011 AND THEN FIND OUT U WERE DUPED! SEEMS TO BE A CALUSION SOMEWHERE AND ALL WHO GET HURT IS THE BUYER. HAD TO PAY WHOLE THING IN FULL AND WAITING TIL JAN. OF 2012 TO SEE IF THE PARTIAL REBATE IS ON THERE>

ComplaintsBoard
M
11:57 am UTC
Verified customer This complaint was posted by a verified customer. Learn more

Samsung ilost my mobile

This is uday, I lost my mobile yesterday (23/10/2010)
My mobile details:
Product:samsung s5350
Imei: [protected]
S/n:[protected]
Colour:metalic black
And my purchased date is 23/08/2010,
I purchased in anantapur, vasavi mobiles, police welfare complex, near tower clock, anantapur...

So please recover my mobile...

Read full complaint
Update by m.udaykumar
Oct 24, 2010 11:47 am UTC

this is udaykumar from tirupati, ilost my mobile yesterday(23/10/2010), so please trase my mobile, and recover...

Hide full review
Trust badge
Collect Your Trust Badge
Be recognized for outstanding customer service
Samsung Category
Samsung is ranked 1 among 218 companies in the Mobile Phones category