Menu
Write a review
File a complaint
Princess Cruise Lines Profile

Princess Cruise Lines

www.princess.com

Learn how the rating is calculated

1.2

Overall reputation rating based on reviews and complaints

Princess Cruise Lines has an overall reputation rating of 1.2/5 based on 5 reviews and 336 complaints, indicating that the majority of cruisers are dissatisfied with voyages.

Claim Your Business
Take control of your profile: address complaints and engage with reviews
Write a review File a complaint

Princess Cruise Lines Complaints Page 15 of 17

ComplaintsBoard
B
3:48 pm UTC

Princess Cruise Lines cruise on golden princess out of singapore on april to tokyo

I wish to complain strongly regarding the above cruise. In my opinion this ship was not fit for purpose nor were a good number of staff. On arrival our balcony was dirty and the cabin fridge did not work and whilst the air con kept the cabin cool as we went further north and the temperature dropped it would not warm up, also some of the lifts were not workin.On the second day my key would not work and went to reception only to find an hour long line mainly of passengers making complaints.I stopped a steward to help me and was told to go to the back of the line ! Had to wait an hour to get back into my room.On 4 occasions I had to have the key re booted.
When arriving in Vietnam we had to wait for 2 hours for the tender .Passengers were getting very irate and no senior officers came down to sort it leaving one junior member of staff close to tears taking all the flack.Because of the delay we only had 3 hours ashore.
I enjoy an afternoon glass iof cider however although it was on all the bars drinks menu the only places that served it was the late night disco and in the restaurant. When asking the bar tenders to get some they told me it was not possible.Also in the restaurant it was our 4 th choice before we found a wine which you had in stock and even you ran out of that one.
When I went to one of the afternoon entertainments billed as a Ryder cup competition I did expect more than putting one golf ball into a plastic cup
There were buckets all over the ship catching the leaks and the back of the theatre along with other places on lower decks had a distinct sewerage smell.
When we tried to get some advise on the ports we were visiting no seemed interested unless we wanted to book an excursion
This was my 4th cruise and never had reason to complain before However I don't think I will be alone with my complaints as we were on any time dinning and every evening the topic of conversation was about the state of the liner.
I should add that I used to suffer with palpitations but haven't for 2 years but had 2 attacks on this cruise caused by stress One of these attack's took me 12 hours to recover from.
I did list these complaints before I left the ship and also on your survey but not had a reply
This trip cost me in excess of £10000 and the cruise part really spoilt the whole experience.In view of this and the effect it had on my health feel that I am entitled to substantial compensation and not by means of a credit because I have no intention of using your cruise line again

Read full complaint
Hide full review
ComplaintsBoard
A
9:06 pm UTC
Verified customer This complaint was posted by a verified customer. Learn more

Princess Cruise Lines booking issue

I was recently on a cruise from March 30 to April 27 on the Emerald Princess. We booked a cruise onboard for November 3, 2019 for a 28 dat Europe transatlantic. I specifically told them to leave my booking with Princess because my travel agent was retiring. They said no problem, whoever you get can get the reservation from us. Well it did not go like that. It went to Vision Travel, where my prior agent worked. I have spent hours on the phone trying to fix your mistake resulting in me having to send an email to release my booking. I do not own a computer so this is a great inconvenience to me as I rely on my daughter for her computer. We are loyal customers with Princess and I am very upset. I think if Princess made the mistake, they should fix it. They are getting paid to handle customer service. We are very disappointed and will never book another cruise on board again.
Angela Francella

Angela Francella 639655811B
Angelo Bucci 627118663A

Read full complaint
Hide full review
ComplaintsBoard
D
9:36 am UTC

Princess Cruise Lines changes in flight without notification

Hello,
I am writing to express my dissatisfaction with Princess Cruise Lines for not notifying me about a flight change just six days before departure. I did not receive an e-mail nor was the flight icon on the summary page flagged. If I did not happen to check for seats on the flight I would have never have known there was a change, so I would have missed my flight home and would have been sitting in the airport at 1:30 am in the morning. The flight has been changed four times requiring several hours on the phone trying to straighten out the flights. I am requesting a cabin upgrade to compensate for this error.

My tour is GA4 Denali Explorer leaving on May 9th from Vancouver.
Tour No. VH2G9G
Darlene and Gary Terwilliger
45 Cindy Lane
Clifton Park, NY 12065
Thank you, Darlene
[protected]

Read full complaint
Hide full review
ComplaintsBoard
D
7:36 am UTC
Verified customer This complaint was posted by a verified customer. Learn more

Princess Cruise Lines credit card charges

Group: TQ5/The cruse Company
Voyage: 6815/14 days off the beaten path
Ship Coral Princess
Tour date May 23, 2018
Member Number 666634674A and [protected]
Problem: Why are we paying an additional $10.00/person tax charge on our booking when are already paid in full? Princess told our travel agent that the cruse would be cancelled unless the additional fee was paid. The additional fee was paid.
Desirable resolution: refund of $20.00 and explanation of why were charged for a trip that has been paid for.

Read full complaint
Hide full review
ComplaintsBoard
P
11:36 am UTC
Verified customer This complaint was posted by a verified customer. Learn more

Princess Cruise Lines I am informing that my wife and myself are cruising once again with princess.

Cruise Complaint
Qin Jiang Zhao
Member Number:#[protected]

Qin Jiang Zhao / John Drago April 15 2016
187 Tormina Blvd.
Whitby On. Canada
L1R3R5

To whom it may concern:

Prior to coming on board the Regal Princess Miss.Qin Jiang Zhao did purchase two bottles of Crown Royal special edition from the Toronto Airport duty free shop.
When coming aboard the Regal Princess on March 27 2016, late afternoon. We were approached by a ships attendant; he did not acknowledge himself of any status. This male attendant instructed us that it was prohibited to bring any liquor on board ship but will be held on ship to be retrieved. This male attendant then gave us a receipt (actually it was a paper from a note pad and he wrote on it F& B copy). I did question the authenticity of this receipt for it had no serial number, no date, no signature and no title. This male attendant did confirm to me John Drago and Miss. Qin Jiang Zhao that it was proper and to present this receipt to the Food & Beverage Manager and then at that point the F&B Manager would retrieve and deliver our two bottles of Special Edition Crown Royal. We were not advised that the bottles would be destroyed. This employee has misled us. As quests of the Regal Princess we were not advised of the consequence and of any policy enforced.
At the time of our leaving the ship we went to the 4th floor and asked to retrieve our liquor. This employee did instruct us that we would have to return to our room and that our room Steward would make all the proper provisions for us to acquire our Crown Royal. The room Steward then directed us to Guest Services. Not one of the employees that we dealt with were not aware of the ships policy on this issue nor did they advise us. No one took the initiative to take responsibility to assist us in our dilemma and to satisfy guests of the Regal Princess.
We then went to Guest Services when we explained our concern the Guest Service representative was also in the dark on how to help us. I then asked to speak to the Guest Service Manager, we were so distraught. Mr. Dusko Bagic (customer relations manager) and Greg Reyes (bar manager) soon appeared. We then explained our concern, they both were also concerned but were not able to give us any resolution. They stated that they would have to proceed with an internal investigation in this matter. They also advised us to make a complaint report and to submit it to the proper department.
At this time Qin Jiang Zhao and myself John Drago were so emotionally upset and disappointed in any resolution or any support nor any confidence to have this issue resolved in a satisfactory manner. At this time, I was battling a Sciatica nerve problem while on board, if you check your surveillance you can see me limping through the ship.
After being guests of the Regal Princess our farewell was a negative one. We feel we were not supported in our concern, we were pushed to one person and another, we felt neglected and abandoned by the staff that we dealt with on the Regal Princess.
If you review the surveillance tape when we came on board you can see that the male attendant gave us a slip to retrieve our Crown Royals.
Our vacation on the Regal Princess was great but ended horrible. The whole day in Fort Lauderdale was depressing and our flight back was miserable. If we were reassured and that there would be a resolution, then we would have been much more comfortable.
My day was a medical challenge by being so upset my glucose level skyrocket (diabetic)I did inject myself with 50 units of insulin so to return to a much more normal level of glucose.
There should be a visible sign explaining this policy prior to boarding the ship so that all guests are informed.
We have been on other cruises before and all alcohol was held on ship to be retrieved at disembarkation.

The question is why did this employee give us a receipt if not to retrieve our two bottles of Crown Royal. It seems for us that we were deceived.

I will send you copies of all necessary receipts for your investigation. The pictures of the evidence that we have aboard the ship is the pages below these.

We had a great time on board, the only flaw was on how we were treated concerning this incident.

Qin Jiang Zhao: John Drago

Below is the response email we received

Hello,

We have received your recent email inquiry to Princess Cruises Customer Relations. We sincerely appreciate another opportunity to deliver the highest quality service to you.

If your email pertains to a recent cruise experience, a member of our Customer Relations team will contact you in the next two to three business days. However, depending on your inquiry, we may require additional time to research your concerns.

If your email is regarding a pre-cruise question or concern regarding an upcoming cruise, we request that you call us directly so that we may address your inquiry prior to your vacation. Guests calling from within North America. please dial 1-800-PRINCESS and select option 2. Guests calling from other locations. please dial [protected].

Thank you and kind regards,

Customer Relations

Princess Cruises

Note: This is an automated reply, please do not respond to this email.
04/17/2016 10:16:06

Read full complaint
View 0 more photos
Hide full review
ComplaintsBoard
R
7:06 pm UTC

Princess Cruise Lines invoice for on board charges

My name is Raymond Cranford, and I just returned from a 7 day Caribbean cruise (Mar 11 to Mar 18) with my wife, Catherine Cranford, on board the Regal Princess. We stayed in Cabin E328 during the cruise, and my visa has been charged with an amount for our on board expenses. I would like to receive a detailed invoice explaining the charges and any onboard credits that were applied. Please e-mail it to [protected]@yahoo.ca

Read full complaint
Hide full review
ComplaintsBoard
J
6:50 pm UTC
Verified customer The reviewer confirmed their account using Facebook. Learn more

Princess Cruise Lines captain circle customer service

My Name is Joy Lee and Doyne Mitchell Jr.
Cabin# A240 Feb.6 - Feb. 16, 2018

On Feb.11, 2018 I went down to Captain Circle at 4:45pm and waited until
5:20pm all I wanted is to ask one question at 5:20pm I spoke to Sibez
and was standing went I talk to her and stated that I book a Japan Cruise
on Feb. 22, 2019 and wanted to see which Airport I was going the land because I needed to book my own tickets, she ask me if I belong to Captain Circle and I told her yes and even shown her my Boarding Card and she
stated that you need to get out right now and wait for the next door person
to help you. I didn't even get 5 minutes of her time and she pointed to
the person seating out side and said next. again she was BLACK and I was CHINESE. is not what you say is how you say it. she has so much hatred in her voice went she said that even the person sitting outside ask me why
she treated you that way. I was so upset that I went to the Front Desk and ask for a Supervisor and told him the situation that just took place. And she is the Boss in that Dept. What kind of Management do you have on Princess ?

BOSS in that Dept. Really bad management on your part.

Read full complaint
Update by J Susan Lee
Feb 17, 2018 7:00 pm UTC

Grand Princess need to get there act together regarding Customer Service in Captain Circle, If you not BLACK be careful special if you are
CHINESE you might get the same treatment that I got from SIBZ ( HATRED ) !

Hide full review
ComplaintsBoard
D
10:21 pm UTC
Verified customer This complaint was posted by a verified customer. Learn more

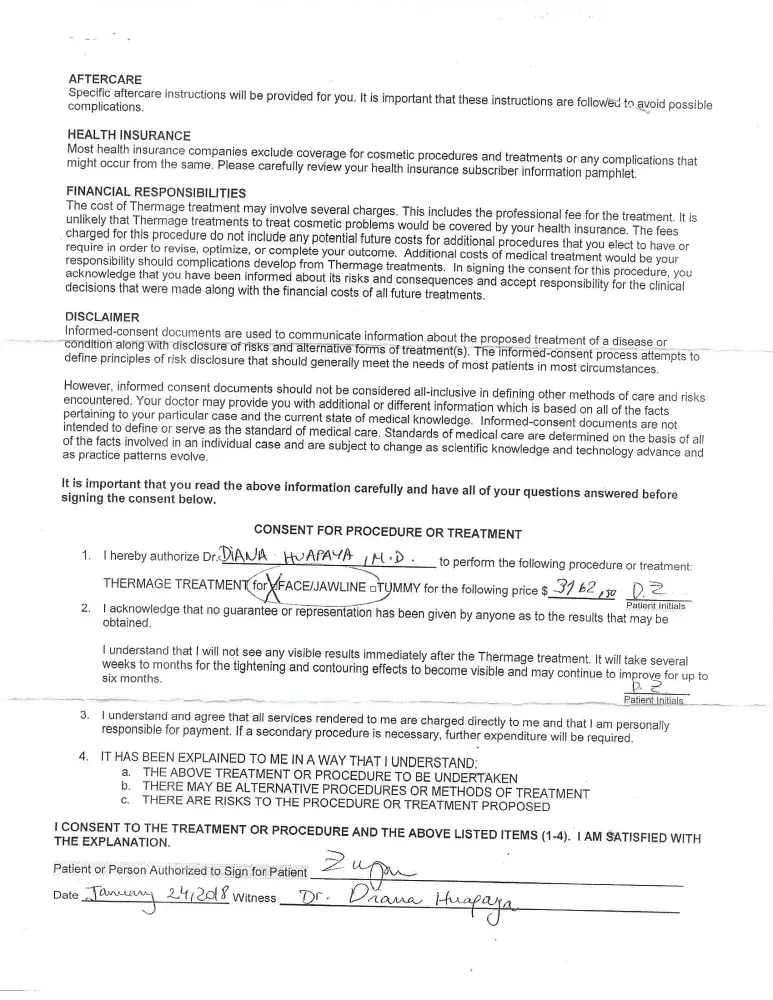
Princess Cruise Lines overcharge, unethical behavior

Date of incident: January 24, 2018, Ruby Princess health center
Booking#: VM4TDX

This is a formal complain about my experience with Ruby's health center and Diana Huapaya.
After attending the Thermage presentation I asked Diana Huapaya about the price and she said it is $360. I made an appointment with her and was told that if I decide to cancel or reschedule I still have to pay half the price. Before procedure Dr.Diana, as she names herself, gave me the Consent for Procedure or Treatment to initial and I didn't notice the price line (which was blank). After procedure she gave me the form to sign and the price was $3162.50. I was shocked, but she said that I didn't hear it right: please try to pronounce three sixty and thirty one sixty two - does it sound the same?
Next day I asked her to give me a copy of the consent form where you can clearly see that the price was written after my initials - the numbers are much brighter than my initials. When I asked Diana Huapaya to give me at least some discount, she replied- you already signed the form! What options did I have if she revealed the price after procedure?
The only result that I have now is a lot of broken capillary on my left cheek.
Please take an action to solve this problem: the price I paid is awfully high (I won't even consider the procedure if I knew the price) and attitude after procedure is far from pleasant.
Please reimburse the money I've spent.

Thank you,
Diana Zupnik
[protected]@hotmail.com

Read full complaint
View 0 more photos
Hide full review
ComplaintsBoard
W
10:44 am UTC
Verified customer This complaint was posted by a verified customer. Learn more

Princess Cruise Lines my given upgrade cabin that I did not want

my complaint is I book a cruise with yous and was happy what it, say on my invoice it guarantees me a cabin on lido deck 14, I went on to you tube research the deck was perfect for me as I have had a knee replacement in left and part in right knee 5 mouths ago still find it a bit difficult going up and down star as the deck offers pool bar and dining on one level is my dream holiday but got a letter in yous put me down to dolphin level 9 were I to go up and down levels so I can get to pool it says on invoice you would guarantee me lido 14 I phoned but got no joy stubborn woman on phone on my invoice its says guarantees me a cabin in lido deck the cabin on my fare

Read full complaint
Hide full review
ComplaintsBoard
P
7:21 pm UTC
Verified customer This complaint was posted by a verified customer. Learn more

Princess Cruise Lines ezair promise to assist us with cancelled flights did not happen

ON

on JAN 7 2018 we were scheduled to depart our cruise VWVVMJ from Fort Lauderdale to Calgary via New York. on Delta Airline. We had booked these flights with Ezair on Princess. There was a massive storm in New York and most flights were cancelled. We received an email that our flight from New York to Calgary was cancelled. When I inquired at the customer service desk of the Regal Princess I was told to take the flight to New York and try to find another flight home to Calgary. There were no flights flying in or out of New York. due to the storm for several days. My husband is 77 yrs old and I cant risk having us being stranded in an airport for several days. My calls to Delta were not answered. No one at the customer service desk had a ph number for Ezair. In desperation I called United Air who sold us the last 2 seats on a flight home through Denver. Delta has now contacted me and assured us that we will receive a refund for the 2 flights but it will go to our travel agent who is Princess. So now we are out of pocket $1889 for our new flights, food, hotel and cabs. I am requesting a refund of our expenses less any refund Delta will be sending Princess.
We are Elite passengers who should be provided with compensation for this incident.I can provide you with receipts for the expenses. Perhaps a word with customer Service on Regal asking why they were so unhelpful is
in order.

J

Read full complaint
Hide full review
ComplaintsBoard
C
9:17 pm UTC
Verified customer This complaint was posted by a verified customer. Learn more

Princess Cruise Lines complain for air sale!!! on your website

Hello, on the night of November 16, 2017, around 3:30am atlantic time, we booked the 5 nights western cruise #VTCV9D including a $240 discount on flight uf booked at same time(on your ad on your website) photos in attachment . Before booking the cruise, we checked how much the flight will cost with this discount. Your EZ-Air website confirms a price of $147 per person and indicates that we have to book the cruise before, and then the flight / photos attached. After booking the cruise half-hour later, we try to book the flight, but the price was growing at $487 each. After several attempts to find the mistake, around 5:30am we decide to go to bed.

When we wake up around 1:00 pm, I call the number on the screen and I talk to Penny about her problem, she did not see the discount, but after she went to the Canadian site she was eventually find the page where it is written "Air Sale" it ended up connecting to our EZ-Air and confirms the amount of $ 147 with the same options. Then she asked me to wait on the line, after 15 minutes she confirmed that this discount on the flight does not apply to our cruise because it is not expensive enough, we had to pay $ 108 more to benefit from the discount "Air-Sale". In no time, you mentioned that it took a minimum of purchase price of cruise to benefit from the discount, we lost big time by your fault. We did 7 mores cruises (3 with you) and are very disappointed that you're not honoring your advertised discount. We are still bitter with your decision to charge us $ 108$ more.

Claude Letourneau Member # [protected]
& Gina Perrotto [protected]
Repentigny, Québec, Canada
[protected]@gmail.com

French,
Bonjour, dans la nuit du 16 novembre 2017, vers 3h30am atlantique time, nous avons réservé la croisière 5 nuits western #VTCV9D affichant un rabais sur le vol de 240$ (selon votre annonce sur votre site Web) photos à l'appui. Avant de réserver la croisière, nous avons vérifier combien coûterait le vol avec ce rabais. Votre site EZair confirme un prix de 147$ par personne et indique que nous devons réserver la croisière avant et ensuite le vol / photos ci-joint. Après avoir réserver la croisière 30 minutes plus tard, nous essayons de réserver le vol, mais le prix affiché était de $487 par personne. Après plusieurs tentatives de trouver l'erreur, vers 5.25h am nous décidons d'aller nous coucher.

À notre réveil, vers 13h, je téléphone au numéro indiqué à l'écran et je parle à Penny, et lui explique notre problème, elle ne voyait pas ce rabais, mais après qu'elle s'est dirigé vers le site Canadien elle a fini par trouver la page ou c'est inscrit "Air Sale" elle fini par se connecter sur EZ-Air et nous confirme le montant de 147$ avec les même options. Ensuite, elle me demander de patienter sur la ligne, au bout de 15 minutes elle me confirme que ce rabais sur le vol ne s'applique pas à notre croisière car elle n'est pas assez chère, nous avons dû déboursés 108$ de plus pour pouvoir bénéficier du rabais "Air-Sale". En aucun temps, vous avez mentionné qu'il fallait un minimum de prix d'achat de croisière pour bénéficier du rabais, nous trouvons inacceptable cette surprise et surtout tous ce temps perdu par votre faute. Nous en sommes à notre 8e croisières (dont 3e avec Princess) et sommes très déçu que vous ne respectier pas votre rabais annoncé. Nous restont amer avec votre décision de nous charger 108$ de plus.

Read full complaint
View 0 more photos
Hide full review
ComplaintsBoard
L
5:04 pm UTC
Verified customer This complaint was posted by a verified customer. Learn more

Princess Cruise Lines reserved funds

Dear Sir/Madam,

I have been guest on the Caribbean Princess Cruise ship from 09.25. to 10.22. this year. During that time I had some expenses which I paid with other card, but my money is still trapped on the one you had on records. Money that was reserved during first cruise has been released, but the remaining $352.26 not yet. I was sure I need to contact my bank, but bank directed me back to you, so I feel bit concerned.

Would you be able to assist with this issue?

Thank you and best regards,

Branislava Linda

Read full complaint
Hide full review
ComplaintsBoard
N
11:51 pm UTC
Verified customer This complaint was posted by a verified customer. Learn more

Princess Cruise Lines unable to book cruise tour because we have children age 10 and 12 yrs old

To whom it may concern.

I went to see my locally travel agent in melbourne aus about booking a christmas cruise with my old employer princess cruises... Ex bar staff... Married my sweet heart, casino girlfriend 20-yrs ago.
The travel agent came up with a great deal for 4 of us 2 + kids 2 + adults around the $4k mark brilliant noooooooooooooooooo!

We were informed that we cannot have the above package deal, because pc had to leave places for people with no kids! Talk about discrimination...

(People with no kids can go on a cruise anytime of the year)
Its a christmas cruise hello! Santa gifts children! Very disappointing in princess cruises.

I put in soo many years of hard work for this company... What a let down.. What a load of crap princess cruises.!

Read full complaint and 1 comment
Hide full review
1 comment
Add a comment
B
B
Bella@@
Sydney, AU
Send a message
Oct 16, 2017 2:31 am UTC
Verified customer This complaint was posted by a verified customer. Learn more

Kids are cool

ComplaintsBoard
S
10:14 pm UTC
Verified customer This complaint was posted by a verified customer. Learn more

Princess Cruise Lines royal princess cruise barcelona to rome. may 27, 2017 to june 3, 2017

I encountered very unpleasant bug bites from my stateroom #14218, while vacationing with extended families.
I filed complaint ( with video attached, which was shot in the stateroom ) with the princess cruise line on June 8, as soon as we got home.

I did NOT even get an apology from the cruise line company.
I showed all my bugbites to the help desk on the ship and asked to see a doctor early in the morning. The front desk gentleman told me to go back to my stateroom and the doctor will come, it never happened.

Read full complaint
Hide full review
ComplaintsBoard
D
9:50 pm UTC

Princess Cruise Lines ultimate balcony dinner

6th of October 2017 at sea on the Sea princess

When I booked my cruise online I booked a ultimate balcony dinner as a special moment to propose to my partner. After filling my dietary requirements I stated I am allergic to Seafood/Shellfish. I was asked what day id like my balcony dinner I selected the first night onboard. Once I boarded the ship and looking foward to my special dinner I rang room serive to ask what time and I was told they cant do it the first night of the cruise ( no mention of this when I booked it) so I asked for it to be the following night. I put in my order and said no seafood because im allergic I was told no worries and they will see me at 6pm the following night. After being sea sick all day thursday I rang room service and asked if they could move it to friday night as I just wont be able to enjoy the moment they said yes. Friday night at 6pm my waiter comes to the door and start setting up first he brings in an entree that has prawns, caviar and salmon on it when he came back with the drinks I said sorry you have to take this as im allergic, so he brings in another plate with a baked pastry on it. After being dissapointed with entrees and not being able to eat that I asked what the pastry was filled with and I was told it is a crab cake, again I send it back and said im not sure if anyone read my dietry requirements or listened when I spoke on the phone but im deadly allergic. Im very dissapointed with that fact that after booking it for the first night I was told no cant have it and then im being sent food that I clearly stated I cant eat due to allergies. I would like a full refund on my balcony dinner. Im highly dissapointed that if I trusted that I was listened to I would not be here, I will not be taking anpther cruise anytime soon as I feel noone cares.

Read full complaint
Hide full review
ComplaintsBoard
J
4:41 pm UTC
Verified customer This complaint was posted by a verified customer. Learn more

Princess Cruise Lines release of pending amounts that were paid on disembarking.

I am very disappointed in princess cruises lack of responsibility
in releasing pending authorizations from my bank.
I have tried many times including getting my bank to ask for early release
of these accounts, What they are doing is holding back my own funds for no apparent reason, they were paid in full when leaving the ship.
I have written to the Australian Law Department outlying my complaint and
hopefully they will be able to rectify this matter.

Read full complaint
Hide full review
ComplaintsBoard
J
9:56 pm UTC

Princess Cruise Lines tours and restaurants level of service

Re Part tour of Europe and Baltic Cruise 10/8/2017-29/8/2017

Member #: 635606084C GW2H2G

Dear sir,

We were part of this cruise which ended in Copenhagen on the 29/8/2017. Our room number was 604.

We were your customers on the land section of this cruise. We do have some complaints with regards to the standards of restaurants used by your land tour operator, and some of the tours that were of no value to us, the castle tour especially!
1. We believe that the quality and content of the food provided to us during this period of the land tour was very inferior to the price we paid for the cruise, especially the restaurant in Vienna, where (5) five of the group were sick and a doctor had to be called to the hotel to examine these people and the restaurant in Berlin which according to your brochure

Quote: " it is the finest restaurant in Berlin " and in actual fact it was probably not more than a two star restaurant, no Michelin restaurants here!

I was really disgusted with the menu, all the food presented to us was " Pork, Pork, Pork " in different forms. I asked for a steak and salad and was refused. So that evening I finished up with nothing to eat, even though I paid for a so-called sumptuous meal in the finest restaurant in Berlin! Ha Ha.

We will not be recommending your cruise line to any of our friends. We even found out that our American friends had a choice to choose their cabin before we set sail, whereas we Australians did not. Why do you have different standards, that in my language is called discrimination!
We enjoyed the food on board the ship and the tours that we attended to very very informative, although everything was RUSH RUSH RUSH, we feel that we should have had more time on these tours considering we paid over $A17, 000.

We hope for a positive response from you.

Yours truly

Joseph and Sheila Bianco

Read full complaint
Hide full review
ComplaintsBoard
S
7:08 pm UTC
Verified customer This complaint was posted by a verified customer. Learn more

Princess Cruise Lines complaint

Mr & Mrs S Hogan 11 Rickard Street Ryde. NSW 2112 Australia 5th August 2017
Your Ref # GNMQ4J – Golden Princess – 75day, Circle Pacific Cruise, Mini suite D210
Dear Sir or Madam
Two important, incidents seriously impacted on the enjoyment of our recent cruise – we were always tense and worried, wondering when this noise was coming back, and we were afraid to use our balcony from fear of something dropping on us again.
1) Avery loud banging noise in our Mini suite, in the very early hours of the morning, between 4.00am and 5.00am. This went on continuously for more than 5 days in a row, before anything was done. Other people in adjoining cabins also experienced this noise and complained, ie: about this very loud and annoying banging and hammering noise. It did stop for a day or so, but then returned again, then for a couple of days, then later it miraculously ceased - no apologies or explanations were provided or given, as to its cause or how it was fixed – or if it was going to possibly happen again and again? The anxiety each night was a real pain – was it going to occur again early the following morning? This was not a cheap inside cabin – this was fully priced mini suite $62, 000.00 for 75 days. What a disappointment and a what rip off – our room was in a poor state of repair!
2) A large wine glass was dropped or thrown from the open deck, on level 15 which struck the steel dividing panel between our two dividing balconies, shattering and showering us with tiny glass fragments and fine particles of broken glass. I still cannot believe how we missed having these glass particles in our eyes, as we were sitting down on the balcony at the time, when we were sprayed and showered with these fine shattered glass fragments. The shattered, long arrow shaped, jagged glass stem, narrowly missed, spearing and penetrating my daughters head – it missed her head by millimetres. It is a miracle that no one was seriously injured or killed by this dangerous act. We were splattered with sharp, finely shattered and splintered glass fragments from the wine glass –frightening and unbelievable.
My concern and complaint is as follows:- Why did it take so long to find and fix this noise problem, and when it was supposedly fixed, how did this problem then continue to re-occur. Why we were not informed, as to what the problem was, and what was fixed, so we had peace of mind, that it would not re-occur. Basic common decency and manners should dictate, that people should be told and reassured, what the problem was, and that it had been fixed – honestly, is that asking too much, I don’t think so?
Now to the more serious matter, of being showered by glass fragments from a shattered wine glass, which was dropped or thrown from the open deck level 15 down onto us, as we sat innocently on the balcony of our mini suite. This is a very serious safety matter, where our health and well being was not properly protected by your officers and the security staff on board. When this serious incident occurred, I phoned the Pursers desk and asked if a senior officer could come down immediately to our cabin and balcony to see, examine and investigate this very serious and dangerous incident immediately. None was forthcoming, in fact I had to ring the Pursers desk 3 times, as no one came and there was finely shattered glass fragments all over our balcony floor – it was impossible to step anywhere on our balcony without standing on shattered glass fragments. After quite some time, a couple of cleaners came to sweep and clean up the glass. I asked them where was the senior officer, to see this mess before they cleaned it up – they just shrugged their shoulders, as if to say they didn’t know – they were told to clean it up. What sort of response is that, when people are sitting innocently on their balcony minding their own business, and then they are showered by fragments of a shattered wine glass and nearly speared in the head by the long, arrow shaped stem. (I have taken a photo of this glass stem to prove my point). What I’m trying to say is, this was not some sort of minor, harmless occurrence –innocent people’s lives could have been destroyed for ever – losing their sight, with glass fragments in their eyes or worse still speared in the head or face with the narrow stem of the wine glass. When some serious incident like this happens, there should be a serious mandatory investigation into who or what had caused this incident. How did it occur (was it a accident or was it people fooling around on deck 15), and what precautions should be taken to ensure this sort of incident does not occur again. I don’t think that’s asking too much?
What really upset and annoyed me was, a senior chap did turned up about an hour or more after the incident occurred – he was not apologetic or overly concerned. I explained that after this incident occurred, a woman on level 15 had pointed down to us, indicating who it was that had dropped or thrown the glass, if this matter had been acted on promptly and immediately, the perpetrator of the act could have been found, identified and made to explain why and how this occurred – also surveillance tapes could have been checked to see who carried out this dangerous act – accidental or otherwise? I do not believe the staff acted appropriately to protect us, after our health and well being was threatened and put at serious risk – their concern and interest was minimal. In fact, I said to the officer who attended and later to a more senior officer on the phone (I think his Christian name was Martin and he had an English accent), that I was going to take this matter further when I got home, and I asked him, would you have treated this matter so causally, if it was him or a member of his family that this had happened to? – no comment, what sort of response is that?.
Princess needs to lift its act, with regards to customer safety and their complaints and their service generally, otherwise long term passengers will vote with their feet. You only had to talk to people on board the ship on this last cruise, to find out how many have cancelled their pre-booked cruises. We have already booked on the 106 day around the world cruise which leaves Australia in early June 2018 next year Sydney to Sydney on the Sea Princess. We are seriously thinking of cancelling this cruise on the Sea Princess, we await your response and reply.
We are loyal, long term Elite, Princess Cruisers. – We are also Elite on Cunard, so we are long term cruisers. In fact this year alone 2017, we completed the 84 day around South America, Sydney to Sydney just prior to joining this 74 day Pacific Circle, Sydney to Sydney cruise. This last cruise cost us nearly $62, 000.00 and it turned out to be disappointing and a absolute nightmare – we had the mini suite “from hell”, the floor tiles in the bathroom kept lifting off and sticking to our feet, lights that would not work or contumely blinked, our fold out lounge was in such a poor state of disrepair, we had an old lump of 4” x 3” block of wood, which was strategically positioned and placed, to hold up the damaged or faulty steel frame in position, the door handle on our balcony sliding door was nearly falling off – you had to carefully juggle it, to close it. We were frightened to use our balcony, with the fear that something else was going to drop on us, and then being woken up early at ungodly hours from our sleep 4.00 and 5.00 am, with loud hammering and banging noises in our room. People say you pay for what you get. Sadly we paid a very high price for what we didn’t get – shame on Princess for treating, 2 long term, loyal, Elite customers, so disdainfully and so poorly. Why employ security staff who chose to ignore serious, dangerous and hazardous acts. Who for reasons best known to themselves, superficially and neglectfully treat complaints and grievances, who cannot be bothered, and who tell people to take the matter up, whenever and with ever they want, when they get home, off the ship – what sort of customer service, treatment and/or behaviour is that – is any staff member on board accountable for their action or their inaction?
I hope I get some sort feed back and a positive response to this long and detailed letter. Otherwise you leave us with no other alternative or option, than to look further a field, at another cruise line, not linked to Carnival and/or its subsidiaries. We will also ensure that we post our experiences, thoughts and grievances on Cruise Critic for all those interested Cruiser out there, to see and to be fully informed and aware, in precise detail, how poorly and shabbily we have been treated by Princess, and why it would be better to look elsewhere. We await your reply. “Our mini suite from hell”, our room number was D210. I dare say, the maintenance issues I mentioned, are still there – some fragments of the broken glass, still laying on balcony floor, the floor tiles still lifting off the bathroom floor, every time you walk into the bathroom, all the lights not working, the large lump of wood, wedge into position to hold up and support the steel frame of the sofa lounge, and the sliding door handle, loose and difficult to use, ie: to close the sliding door properly.
We encouraged and paid for our daughter to join us on this cruise, she is a High School Teacher. She has sadly walked away with a very disappointing and poor impression of Princess, their customer service and relationship and cruising in general. I’m sure she will go back to school to share and paint a very tainted and poor impression of her experience of Princess and this cruise, with her colleagues and her students – I say shame on Princess. I will be sending this letter to Princess cruises in Sydney and America and Carnival’s Head office in America for their action and response.
Yours faithfully Stan and Julie Hogan

Read full complaint
Hide full review
ComplaintsBoard
W
9:50 pm UTC

Princess Cruise Lines card charges

Barry & Wendy Taylor

we returned from a cruise yesterday 20/7/17 Sun Princess VLD13G cruise booking number - Noumea - New Caledonia cruise Brisbane - Brisbane 10 August 2017 returned 20 August 2017

We noticed charges doubled up
12/7 $46.98 from our personal credit card which is shown on our bank statement
13/7 $47.92 on our bank statement
15/7 $51.91 on our bank statement

We then notice we have paid our cruise account which includes these same amounts
13/7 $47.40
14/15/7 $51.35

How come these charges are on our own personal bank account plus on the cruise card
Have we been charged twice

[protected]@hotmail.com

Read full complaint
Update by wendytaylor
Aug 20, 2017 9:52 pm UTC

Waiting for your comment, I can't comment if no reply received

Hide full review
ComplaintsBoard
I
12:31 pm UTC
Verified customer This complaint was posted by a verified customer. Learn more

Princess Cruise Lines everything

Our cruise voyage number was 8721 disembarking from Singapore to Shanghai on the majestic princess. Our cruise date was June 18 until July 9. We have cruised with Princess for 90 sea days and this is the first time I can truly say we were disappointed in many things. On day of disembarkation there was no one outside of the terminal to give us directions or assist us and my husband is in a wheelchair. The things I'm complaining about might seem trivial to the company but after spending 15, 000.00 for cruise, flights, visas and money spent on board and in the ports I think we are justified. I tried to buy a paperback book three days into the cruise and was told there weren't any more because this was a Chinese cruise. I heard this same expression at least 20 times during the cruise. We asked where the map of the voyage was as the husbands liked to look at it. Again I was told by an officer there wasn't one but low and behold two weeks into the trip we found it in the art gallery again poor communications among the staff. We chose to eat at the dining room on deck 5, the first day I asked where the menu was and was told I would have to go to deck 16 to see the menu. I asked many times why and was told different reasons, finally after complains to the front desk and many officers I met with the head of the dinning rooms and low and behold the next day the menu was on a table out side of our dining room it only took two weeks to correct this simple request. The internee cafe was another source of frustrations, one person and two terminals for 3500 passengers. My husband owns his own business and needed to check his email daily, we were told that this ship is again for the Chinese and they bring their own tablets, phones ect. We did bring our tablet only to have it break in Singapore. You can imagine my husband confined to a wheel chair having to wait some times up to an hour or just leave. There wasn't one day that I didn't encounter toilets out of order in the public restrooms. One day I went to the front desk to complain about something, the phone was ringing and ringing there were four front desk staff present talking to each other, my person was in the back looking for a supervisor. I finally couldn't take it any longer and asked if anyone was going to pick up the phone which they did and sure enough it was a guest asking for assistance. I know there are things beyond Princess control but the way customs was handled in Hong Kong and Korea have got to be fixed. We had to go though customs in Hong Kong with every one else and it took us two hours to get back on the ship. Korea everyone was given a specific time to leave and of course no one stuck to their times and the times were not enforced by the staff. The worse part we encountered and I vowed at that time was disembarkation at Shanghai . 3500 passengers, 7000 pieces of luggage and no one who spoke English outside to help, again imagine my husband in a wheelchair and me trying to find three pieces of luggage. The only thing that was very positive is you have two employees that are an asset to your company. Harry Sui front desk personal who remembered my name as we became good friends with all my trips to the front desk, he was pleasant and attempted to help me as best as he could, the other person was our cabin Stewart Tomislau Gicev he went above and beyond to assist my husband and we are truly grate full. I don't have the booking number of our cruise our names are Lynette Smith and Ignacio Naranjo we were cruising with another couple Donayda and Guillermo Alonso. I would appreciate if some one could respond to this letter and just not ignore us as we have already given deposits for future cruises which will depend if Princess wants us to continue as customers.

Read full complaint
Hide full review

About Princess Cruise Lines

Princess Cruise Lines offers a variety of cruise vacations to global destinations. Services include onboard dining, entertainment, and accommodations. Travelers can choose from multiple cruise lengths and locations, with options for excursions and activities at port stops.
Trust badge
Collect Your Trust Badge
Be recognized for outstanding customer service
Princess Cruise Lines Category
Princess Cruise Lines is ranked 4 among 27 companies in the Cruises and Charters category