Menu
Write a review
File a complaint
Novad Management Consulting Profile

Novad Management Consulting

www.novadconsulting.com

Learn how the rating is calculated

1.2

Overall reputation rating based on reviews and complaints

Novad Management Consulting has an overall reputation rating of 1.2/5 based on 0 reviews and 53 complaints, indicating that the majority of clients are dissatisfied with consulting services.

Claimed
Novad Management Consulting has claimed their business profile
Write a review File a complaint

Novad Management Consulting Complaints Page 2 of 3

ComplaintsBoard
M
9:25 am UTC

Novad Management Consulting Notice of Servicing transfer

Got a letter in the mail stating they were transferring our mortgate from Novad to ISN Corp, starting Oct 8th. Although I have not called my actual mortgage lender yet, I am sure this is a scam. They only put my husband's name on the letter and the mortgage is in both our names. Plus our mortgage is not and has never been with Novad. Been with the same lender the last 15 years. Will be calling my lender to verify but given how many complaints are on here regarding the exact same letter I am confidant this is a scam.

Read full complaint
Hide full review
ComplaintsBoard
M
8:07 pm UTC

Novad Management Consulting Notice of Servicing Transfer

Received a letter stating that there was going to be a Notice of Servicing Transfer on my mortgage that it was currently serviced by Novad Management Consulting and being transferred to ISN Corporation, my current lender and servicer is NOT NOVAD and I called my actual servicer and they advised me that is a scam and my mortgage is still with them. They have no documentation on my account about it being transferred. Do not call the number on the letter call your actual servicer first and confirm with them.

Desired outcome: Stop this scam immediately

Read full complaint
Hide full review
ComplaintsBoard
M
11:30 pm UTC

Novad Management Consulting servicing letter

I received a letter from Novad stating my mortgage was to be serviced by them as of 10/08. exactly like others. I called my lender since it looked bogus and they said not legit. I just don't know how they can get away with this and not be shut down.

Desired outcome: I want them charged with fraud

Read full complaint
Hide full review
ComplaintsBoard
M
6:36 pm UTC

Novad Management Consulting Unnecessary and untruth correspondence

Damages are requested. There is no truth to the correspondence received and penalties should stowed upon you. Please take me off your list and stop sending me coorespondace to the effect of Novad and ISN taking over my mortgage. My Mortgage lender indicated this correspondence can be foreseen as a scam. Receiving this caused me to stress out and it took a day for me to call around, email and reach someone who could explain. I should've been put through that.

Desired outcome: Compensation for undo stress and my time trying to figure this out

Read full complaint
View 0 more photos
Hide full review
ComplaintsBoard
L
12:20 pm UTC

Novad Management Consulting Fake transfer of mortgage letter

I received a fake Notice of Servicing Transfer from NOVAD Management Consulting, LLC for my mortgage. My mortgage company PHH has no record of transferring my mortgage. This is a scam.

Read full complaint
View 0 more photos
Hide full review
ComplaintsBoard
C
11:36 am UTC
Featured review
This review was chosen algorithmically as the most valued customer feedback.

I received a letter dated September 22, 2021 stating my mortgage loan is being transferred from Novad Management Consulting LLC to ISN Corporation - Western Operations Center October 8, 2021. Send payments to 2000 N Classen Blvd, Suite 3200 Oklahoma City, oK 73106. My loan is not/has never been serviced by Novad Management Consulting, LLC. Novad toll free...

View 0 more photos
Read full complaint and 1 comment
ComplaintsBoard
C
11:02 am UTC

Novad Management Consulting Service Transfer Scam

I received a letter today stating my mortgage is being transferred from NOVAD to ISN. Both addresses are in Oklahoma City. Our mortgage is and always has been w another mortgage lender and we have not received any notifications otherwise. I immediately looked up the company NOVAD Management Consulting and saw there have been other reports of scams coming to people via letter.

Desired outcome: Stop this company!

Read full complaint and 1 comment
View 0 more photos
Hide full review
1 comment
Add a comment
A
A
Anjay
New Orleans, US
Send a message
Sep 29, 2021 12:41 pm UTC

I got the exact same letter … I then called my loan company and they told me don’t NOT send my payment to them SCAM

ComplaintsBoard
T
8:52 am UTC

Novad Management Consulting Fake loan transfer letter

Just received my scam letter dated Sept 22. This is sad and pathetic attempt to scam people. These people should be charged to the full extent of the law.

Read full complaint and 1 comment
View 0 more photos
Hide full review
1 comment
Add a comment
I
I
Icey$
Fort Worth, US
Send a message
Oct 13, 2021 3:05 pm UTC
Verified customer This complaint was posted by a verified customer. Learn more

I got this same fake [censored] letter and knew right away because the professional way to change servicers is for the original servicer to send a letter telling you they will no longer have your mortgage with the new servicers name and information. They do it like this so that there's no surprise of where to send that payment ?
Icey,

ComplaintsBoard
E
9:09 pm UTC

Novad Management Consulting NoVad

I received one of those letters circulating about taking over my mortgage, and there is absolutely no information from my current mortgage holder pertaining to anyone including this company who has an absolutely horrible reputation for scamming homeowners.

I will not be harassed by this company under any circumstances, my record with my provider is stellar therefore.

Noone including whoever owns Novad. And under the protection laws, I feel as though these people should be made to pay for the undo stress on myself as a 12+ years homeowner in very good standing.

Sincerely,
EMcDaniel

Read full complaint
View 0 more photos
Hide full review
ComplaintsBoard
K
5:20 pm UTC
Featured review
This review was chosen algorithmically as the most valued customer feedback.

Today I received a letter from NOVAD Management Consulting, LLC telling me that as of 10/08/2021 all mortgage payments are to be sent to ISN Corporation-Western Operations Center. First of all, I never had NOVAD Management Consulting LLC as the company collecting my payments and I have never heard of them. Secondly, the referenced loan number is not even...

Read full complaint and 1 comment
ComplaintsBoard
D
2:21 pm UTC

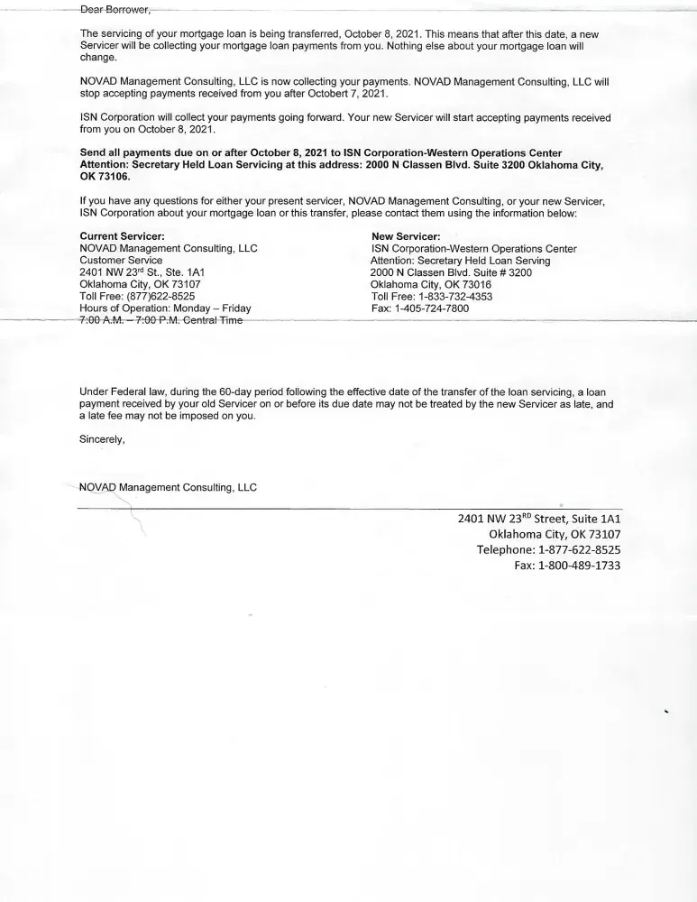
Novad Management Consulting Mortgage Transfer

9/22/2021 Boags Letter of Servicing Transfer
Dear Borrower,
The servicing of you mortgage loan is being transferred, October 8, 2021. This means that after this date, a new Servicer will be collecting your mortgage loan payments from you. NOVAD Management Consulting, LLC now collects you payments.

I do not have a loan and have never had a loan with NOVAD Management Consulting LLC, I attached a copy of the letter received. I'm also contacting the BBB, my Mortgage lender and the FBI Fraud Division.

Desired outcome: Shut them down!!!

Read full complaint and 1 comment
View 0 more photos
Hide full review
1 comment
Add a comment
M
M
Marc Grossman
Southampton, US
Send a message
Sep 29, 2021 6:52 pm UTC

I received the same exact letter. How can they get away with this. I called by loan servicer to be sure since the letter looked bogus and it was.

ComplaintsBoard
M
2:16 pm UTC

Novad Management Consulting Scam

I received a letter, dated 9/22/2021. The letter appeared to be from Novad Management Consulting and/or ISN (Information System & Networks) Corporation. The letter stated that my servicer was changing from Novad to ISN. Only, I have never done business with Novad. I also noticed that my loan number was inaccurate and there was no actual mortgage information (i.e. payment amount or mortgage balance).
Thankful I am a researcher and didn't simply change my mortgage payment because I would have voluntarily sent payments to this company/address. Someone could be out thousands of dollars before being contacted by their actual loan servicer and/or have negative effects on credit before they even realize this.

Read full complaint
Hide full review
ComplaintsBoard
C
10:37 am UTC

Novad Management Consulting Fake mortgage loan servicing letter

I received a letter from Novad consulting yesterday saying they were transferring the servicing of my loan to another group. I called my mortgage servicer and they verified this letter is fake. I have never even heard of novad consulting. I also realized that the letter is fake when somw information is missing from the real mortgage. This company needs to be shut down immediately, if it's even a real company.

Read full complaint
Hide full review
ComplaintsBoard
A
11:34 am UTC
Verified customer This complaint was posted by a verified customer. Learn more
Featured review
This review was chosen algorithmically as the most valued customer feedback.

I received a letter from novad dated 09/22/2021 stating that they are turning over the servicing of my loan to isn corporation with a fake account number. The problem, novad has never serviced my loan, I called my loan servicers and they also verified that my loan had no been transferred and that they are the loan servicing company and no changes. People...

Read full complaint and 7 comments
ComplaintsBoard
L
6:53 pm UTC

Novad Management Consulting Scam regarding the servicing of Mortgages

I received a letter dated September advising me that my mortgage provider was transferred from Novad Consulting to ISN Corporation.

I have never had a mortgage with Novad and never heard of either of these companies in the past.

I will be contacting my current mortgage provider in the morning to verify that my mortgage is still the same.

I don't know what these people are trying to do but there might be older people who might believe this and start sending money to a bogus company.

This needs to be looked into immediately as there are several people on the message boards who have received this same letter.

Desired outcome: Stop the company from stealing money from people who might buy into them

Read full complaint and 2 comments
View 0 more photos
Hide full review
2 comments
Add a comment
O
O
OnBottom
Elk Grove, US
Send a message
Sep 28, 2021 6:35 am UTC
Verified customer This complaint was posted by a verified customer. Learn more

9/28/21

I received the same 'trash' yesterday! I had been picking my brain all day wondering why US Bank would sell my mortgage. Then adding 2 + 2 and reading the complaints and multiplying the mess, I came to the deduction that this 'company' is bogus & they are trying to rip senior citizens (and those with lower IQ's) off... They must be stopped!

G. L. Moore
California

ComplaintsBoard
C
1:22 pm UTC
Featured review
This review was chosen algorithmically as the most valued customer feedback.

I received a fictitious letter today, September 22nd, 2021 from Novad Management Consulting advising me of transfer of servicing of my mortgage under Loan Number [protected] to ISN Corporation Western Operations Center. Please note I NEVER HAD dealings with Novad in the past and the referenced loan number is not the same as the loan number with my current...

Read full complaint and 40 comments
ComplaintsBoard
S
11:46 pm UTC

Novad Management Consulting 3030 Richardson, Circle El Dorado Hills, Ca. 95762

i am making a complaint against my neighbors, who are

George & Colleen Hard

I understand that Novad has the reverse mortgage at the above address
The above residents are not keeping their property up. They have two huge pines trees in the front yard
that are dead and pose a big liability.
The good neighbors fence that divides our properties is in shambles. After three estimates they refuse to help. They have tall privets along the fence on their side that appears to be supporting some of the planks. I don't know if this is your reverse property lien but if it is something needs to be done. I understood that even if you had a reverse mortgage it was still your responsibility to keep the property up.

Desired outcome: George & Colleen Hard need to keep their property up by paying half of the fence replacement and remove the huge pine trees in their front yard.

Read full complaint
Hide full review
ComplaintsBoard
J
10:51 pm UTC
Verified customer This complaint was posted by a verified customer. Learn more

Novad Management Consulting Reverse mortgage

NOVAD took over the servicing of my reverse mortgage in Jan 2020 and my statement has been incorrect from the very first statement NOVAD sent. They acknowledge my balance is significantly overstated but refuse to do anything about it. It has been my practice to call them every month when I received my statement. Now they have cut off my statements so I can't tell what my loan balance is. Wait times to get through to the HUD service center can be over an hour. From what I have read in these complaints it appears I'm going to have to sue NOVAD to get this corrected. It's outrageous that a mortgage servicer contracting to service HUD mortgages can't even send out a correct statement. I know that if I don't get this resolved now getting a correct payoff will be a big issue when I sell my house.

Desired outcome: Send a correct statement monthly....how hard can that be?

Read full complaint
Hide full review
ComplaintsBoard
J
10:06 am UTC
Verified customer This complaint was posted by a verified customer. Learn more

Novad Management Consulting Lien payoff

I'm trying to get my lien oayoff from Novad. My lawyer has also sent in requests. It has now been two weeks and I'm supposed to close early next week on my new loan. I've spent hours on the phone with Novad for them to tell me there is nothing that can be done. The service center said there is no way to escalate and they cannot see why it is not being processed. I'm at risk of mg closing falling through. It feels helpless, especially since there is no one that can provide info.

Desired outcome: I just want my lien payoff

Read full complaint and 1 comment
Hide full review
1 comment
Add a comment
C
C
Clmdrew
Flemington, US
Send a message
Sep 28, 2021 6:20 am UTC

Josh I am having the same problem how did you get a resolution? Can you email me clmdrew@aol.com

ComplaintsBoard
R
8:26 am UTC
Verified customer This complaint was posted by a verified customer. Learn more

Novad Management Consulting Phone problems?

A borrower has passed away and the family just wants to close the reverse mortgage and get in touch, to get the closing statement but impossible to reach by phone.

Read full complaint
Hide full review
Trust badge
Collect Your Trust Badge
Be recognized for outstanding customer service
Novad Management Consulting Category
Novad Management Consulting is ranked 40 among 66 companies in the Consulting category