Menu
Write a review
File a complaint
CB Sustainable Home and Construction Review of Modern Redevelopment LLC
Modern Redevelopment LLC

Modern Redevelopment LLC review: House Remodel ( 3 comments)

P
Author of the review
7:54 pm UTC
Verified customer This complaint was posted by a verified customer. Learn more
Featured review
This review was chosen algorithmically as the most valued customer feedback.

Fraud, scam artist, con artist, fraudulent business practices.

Stay away from Chris Lim who is the owner and does business as Modern Redevelopment, Neighborhood Consulting Inc, primo Construction, Tricor Construction and his contractors Felix Hurtado and Keith Blackwell.

Manipulative con artist. I have been ripped off and left abandoned after pre-paying $118, 000 on my house remodel.

I was ripped off as I am simply too nice, conned into pre-paying for work that was never completed and left with work that wasn't done to building code. Extremely poor workmanship and left with property damages with leaving my house exposed w/o roof to the rain. when I had pre-paid for my contract. Contractor was never present to supervise his staff when they were actually here, then sent unlicensed, inexperienced staff to do work with no knowledge of how to perform their assigned duties. They had no intentions of finishing my house and have run away with my money.

Stay away.

If you have purchased a house, or considering purchasing a house from this scam artist, get a building inspection as he uses unlicensed contractors to do his home remodels.

Country of complaint: United States

Address: 3435 Wilshire Blvd #2700-75, Los Angeles, California

ZIP: 90010

Update by peter edwards
Mar 11, 2016 6:47 pm UTC

Be aware and be warned. Do research and you will find this company has had disciplinary action before.

These guys are crooks, scam artists, and this so called waiver to allow Christopher Lim off the hook is void as it was created in fraud and manipulation.

I have commenced legal action against Christopher Lim’s company, contractors and look forward to my day in court.

View 0 more photos
3 comments
Add a comment
H
H
horse1092
Los Angeles, US
Send a message
Mar 07, 2016 4:46 pm UTC
Verified customer This complaint was posted by a verified customer. Learn more

Vindictive man, Chef Peter Edwards of Bel-Air Bay Club and Santa Monica Seafood -- www.ChefPeterEdwards.com See attached waiver

How could the renowned Bel-Air Bay Club and Santa Monica Seafood trust a dishonorable man to make such important decisions? I would not trust nor digest a thing he says or makes.

1. Neighborhood Consulting has nothing to do with anything. Why did he include the entity into his thoughtless complaint?

2. Modern Redevelopment and Christopher Lim exited the project very early due to the unscrupulous nature of Chef Peter Edwards.

Be careful with this man. Chef Peter Edwards is wicked and tricky.

See attached Agreement/Signed Waiver. He and Modern Redevelopment agreed to a waiver and MR exited the project in the beginning, due to his unscrupulous nature, which he signed. SEE ATTACHED.

View 0 more photos
H
H
horse1092
Los Angeles, US
Send a message
Mar 22, 2016 12:17 pm UTC
Verified customer This complaint was posted by a verified customer. Learn more

Pete Edwards gave his credit card directly to Felix. Who does that? Why would you give someone else your credit card? Now he's trying to sue me for that as well?

He didn't even have a contract with Felix for the work to be performed so there was not even an agreed upon timeline for the work to be performed. Peter Edwards is a discombobulated man.

H
H
horse1092
Los Angeles, US
Send a message
Dec 03, 2018 11:44 pm UTC
Verified customer This complaint was posted by a verified customer. Learn more

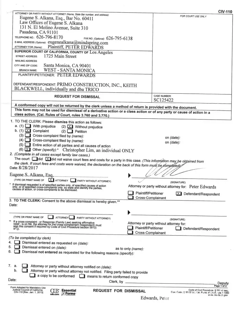
See attached Dismissal. I can't believe this gentleman harassed me for 2 years! In response, I defended MYSELF in pro per and STILL WON! I did this out of principle. Why should I be punished with having to pay attorney fees when I didn't do anything wrong. See attached request for dismissal by plaintiff.

View 0 more photos