Menu
Write a review
File a complaint
Harvey Norman Profile

Harvey Norman

www.harveynormanglobal.com

Learn how the rating is calculated

1.9

Overall reputation rating based on reviews and complaints

Harvey Norman has an overall reputation rating of 1.9/5 based on 0 reviews and 556 complaints, indicating that the majority of customers are dissatisfied with purchases.

Claim Your Business
Take control of your profile: address complaints and engage with reviews
Write a review File a complaint

Harvey Norman Complaints Page 19 of 28

ComplaintsBoard
J
6:43 pm UTC

Harvey Norman nokia push button mobile phone

I ordered as Nokia push button mobile phone online from Harvey Norman cost incl delivery $98.00. I only need a mobile to text and receive calls but it was the most complicated phone I have had certainly not user friendly. I used it for a few days without success and had to get the sim card put back into my old Samsung.

I returned the phone to Harvey Norman Balgowlah and they would not exchange or give me a store credit. As a friend of mine is spending thousands of dollars in Harvey Norman Balgowlah I thought this treatment was very negative PR and very bad customer service. I asked the sales person to throw the phone in the bin as it was no good to me. regards Jane McDonnell

Read full complaint
Hide full review
ComplaintsBoard
A
5:54 am UTC

Harvey Norman harvey norman - broadway (staff name elliot)

I bought a slow juicer, MacBook Pro and 2 guitar adapters on Dec 3rd from Harvey Norman Broadway.- spent above $3500. Today I went to the store after 4 days and mentioned the guitar adapters and slow juicer needs to be returned as adapter doesn't fit and juicer is not having the function of making a smoothie. The staff returned the adapter for 26 dollars and asked for approval from Daniel the store manager. The store manager mentioned that his store policy is that there are no refunds for change of mind and I should have thought before buying. I asked him why he is being selective in refunding one item and not the other. He straight away said he is not obliged and will not entertain. Going through the reviews on Facebook, I see this a continuous problem with Daniel of Harvey Norman Broadway. I will appreciate if you can enquire into this. As a consumer, if the sales staff sells stating few functions which are incorrect then I should have a right with cooling period. I didn't even open the box and it was absolutely in new condition. The behaviour of Daniel and his staff Elliot was extremely rude. I am attaching the 2 receipts for your perusal. One shows the refund he gave me and the other shows the amount for juicer which he refused to refund. I will appreciate your help. I am unclear on the policy as his staff refunded product of smaller amount and demonstrated his arrogance on the other.

Read full complaint
Hide full review
ComplaintsBoard
K
6:54 pm UTC
Resolved
The complaint has been investigated and resolved to the customer’s satisfaction.
Harvey Norman Logo Replied
Harvey Norman has left an official reply on this complaint.

Harvey Norman order number: [protected] issue date: 30/11/2017

Breville Ikon Froojie Juicer - Product code: BJE520

Hi Petronella! Your order is ready for pick up. - 214 Brisbane Rd, Booval QLD 4304
Order number: [protected] Issue date: 30/11/2017
Person picking up order: Petronella Kruger (send my husband with my ID and printout of ready for pickup notice and note)

We went to collect the juicer on 2 / 12 / 2017 at 9:30. The salesman at the cashier department took our printout went and look for the pickup and after 30 min's came up, could not found the juicer and wanted to give us the demo on the shelve (2nd hand).

We have purchased a sealed box to be opened at the shop to see if everything is in the box and won't accept a demo model. He then told my husband that the order will now only ready for pickup late next week. When my husband asked if he can pick it up at another store the guy have said no, not allowable. We purchased apples to be juiced and have to get rid of it as we do not eat green apples as is.

We feel that we have driven 32 km's round trip and paid for the ferry back and forth. I think the fair thing to do is that Harvey Norman consider free delivery on Monday.

This is unacceptable and we feel we have lost trust in this pickup at store delivery. I did purchase a Electrolux vacuum cleaner to be collected at Booval Ipswich a few weeks ago and also had to wait about 45 minutes to get my vacuum cleaner.

Please let us know the action taken to clear the above matter.

My email address is: [protected]@gmail.com

Regards, Petronella Kruger

Read full complaint
Resolved

The complaint has been investigated and resolved to the customer's satisfaction.

Hide full review
ComplaintsBoard
Z
5:33 am UTC
Verified customer This complaint was posted by a verified customer. Learn more

Harvey Norman order paid for 4-days ago and no updates

I placed an order 4-days ago for a $450 item and paid via paypal immediately. My order was then cancelled for no reason but Harvey Norman still has my money. I've called, emailed and used the online chat feature daily but am receiving no updates. At this stage it looks like i've lost my money. I thought this type of thing was illegal in Australia.

A warning to everyone out there! Do not order from Harvey Norman. Shop around, Ebay, Amazon, anywhere else. At least with Ebay there are good sellers and you have the option of leaving negative feedback, etc...

Read full complaint
Hide full review
ComplaintsBoard
L
6:05 am UTC
Verified customer This complaint was posted by a verified customer. Learn more

Harvey Norman staff and damages done to my property due to false and misleading information

I rang harvey normans Toowoomba today 22nd nov 2017 to explain that my seagate 1tb hard drive was not showing up on my laptop. I plug it intp the laptop and it says there is a device plugged in but it doesnt show up. The light works and the hard drive is making a low noise. I was told to take it into the store and the tech worker could look and see what was causing it and if needed to, to send it away to have it fixed/ photos recovered as i still have warranty (bought it in January 2015) was told that those hard drives are sold with 3 years warranty.
I took it intp the Toowoomba store. Explained everything i was told. He plugged my hard drive in and like i told them it wont show up on the computer, he tried a new cord and it still didn't work. He told me i meeded to buy a new housing for it. I said i still have warranty as it came with 3 years. He said no warranty has ended they only come out with 2 years warranty. I asked him if there was anything at all i could do to recover my photos as they are photos of my son when he was a baby. He said the only thing that will recover the photos is to replace the housing. Told me they were $20. And that to replace it you take out the inside "guts" and put it inside the nrw housing and it will be good to go and ill see my photos.
I paid for the new housing. Pulled my hard drive apart as i was told by harvey norman worker i had no warranty left. Put the "guts" in the new housing but it didnt fit. Yook it back and the other tech guy pulled tje silver foil off my hard drive piece and pulled off tje chip told me i didnt need it. Put tje guts inside the housing. Told me it will work. Came home. Tried it in the laptop. Still didnt work. Called harvey normans back explained everything to the person i spoke to. He said i do have warranty still as all seagate hard xrodrives come with 3 years warranty. He said i should have been given the option of sending my hard drive away. But because i have pulled my hard drove apart the warrant is now void and there is nothing they can do. But if i want to recover my photos i need to go tp data recovery company which will cost thousands.

THIS IS NOT ACCEPTABLE! i was given wrong information which caused me to void warranty. I wasted $20 on a new housing as i was told that was all i needed to recover my photos. And now i dont have a hard drive covered by warranty. Just the guts of my hard drive in a new housing. I would like to be contacted by the FRANCHISEE OWNER ONLY! I WILL NOT SPEAK TO STORE WORKER!
I would like a refund for tje housing i bought. I would love for my hard drive to be recovered.

Please contact me eithwr email: [protected]@gmail.com
Or mobile
[protected].
Look forward to speaking with you in the next 24 hours. Kind regards lisa hicks

Read full complaint
Hide full review
ComplaintsBoard
K
10:54 pm UTC

Harvey Norman euromaid 54cm s/steel gas upright cooker

So brought cooker at HN warrawong on the 29/10/17which was in stock but still took over 3 weeks to install due to either it was raining/ haven't got parts on me or another excuse finally installed on 17/11/17 only to find that it has only one oven rack, so cooking multiple meals is out how stupid WHY did not customer assistance explain that I would have brought the one that I wanted in the first place but that wasn't in stock at the time.So had to buy one asap what a joke

Read full complaint
Hide full review
ComplaintsBoard
J
10:48 pm UTC

Harvey Norman product care rejection.

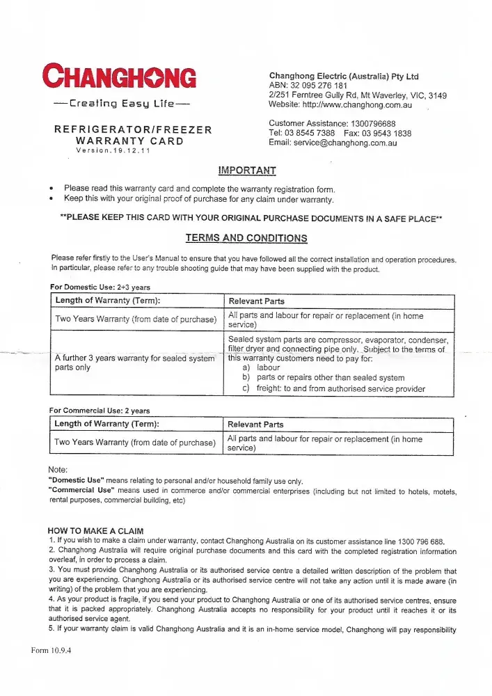
On 13/06/2012 I attended Harvey Normans Store at Bendigo Victoria where I purchased a CHANGHONG Refrigerator/Freezer Model CHRF420. This item came with a 2 year Manufacturer's Warranty. At the time of purchase I included a 60 months (5 year) Product Care. The staff member handed to me the Product Care Document stapled to my Receipt, which I still have in my possession. The Product Care Number is PC-[protected].
On 16/11/2017 I submitted a claim to Product Care and was advised via email that my claim was rejected on the basis that the cover had expired!

In the Product Care Document the first paragraph under the heading "TERM" states: "The term of Your Plan will be clearly stated on Your Original Documents and is effective from the expiry date of the manufacturer's warranty on Your Product."
I therefore calculate that my Product Care Warranty does not expire until 13/06/2019.
On even date I contacted Product Care and spoke to a female named Meryl who stated my Product Care cover had expired on 17/07/2017 and that I had purchased the product the 17/07/2012. Meryl stated that my Product Care document was a Green Coloured form and that covered from the date of purchase. My Product Care Form is Blue and clearly states the TERMS I have mentioned above. Meryl continued to disagree with the purchase date and yet my Harvey Norman Receipt and my Bank records clearly show 13/06/2017. Meryl was to email to me the terms of my Product Care Cover and purchase details, which she has not done.
Over the years I have purchased an extensive amount of items for Harvey Norman, many with Product Care Cover. Your records will clearly reflect this. All I am requesting is to have my Product Care honoured and my Refrigerator either repaired or replaced. I am attaching the following to assist: 1/ Receipt of purchase. 2/ Product Care Document which was handed to me at time of purchase. 3/ CHANGHONG Warranty.
Regards:
John GIBSON
2 Riverview Dve., Barmah Victoria.
Mobile Phone: [protected]

Read full complaint
View 0 more photos
Hide full review
ComplaintsBoard
R
6:28 pm UTC
Verified customer This complaint was posted by a verified customer. Learn more

Harvey Norman service (or lack of) and rudeness

On sunday afternoon 3 pm (12/11/17) my wife and 2 children 3 & 6 went to harvey norman in frankston victoria - the store was not busy - we wanted to buy a new lounge suite and use the 1 year interest free loan application.
From the onset, we were being watched, the 3 year has autism and the 6 year old has adhd (On medication) - one woman was so rude telling the 3 year old to put down a teddy - which was for sale - they were whispering and pointing at us - the autistic 3 year old likes to be in enclosed places and got under a desk top - and was told to get out at once. My wife did explain that he was autistic - the reply was he still has to get out of there. We left - no sale - with my wife crying -
Very, very poor understanding and lack of compassion. Were we disturbing their very quiet sunday afternoon - maybe
Harvey - you need to train your staff more about customers needs - we will be telling all our friends online at autism australia -

Read full complaint
Hide full review
ComplaintsBoard
P
3:42 am UTC
Verified customer This complaint was posted by a verified customer. Learn more

Harvey Norman carpet

25Feb17 my husband Neil and I went to Harvey Norman blacktown to get the quotes on flooring and carpet for our house. We got the quote and was happy with it. 08Jul17 we went again to chose the colour and pay deposit. Spoke to Hayden who showed as few samples but we chose silk natural for kids Grey Flannel and luxurious beauty Swiss Coffee for down stairs and luxurious beauty mystic fog for master bedroom. We took 2 luxurious beauty sample to the counter where Hayden took all the details from the back and put into the computer, for kids and visitors room he looked and said there is no sample now but ok to take the pix which I did and again he added all to the computer. Then Hayden printed the teams and conditions and gone thru with us, that time he did not print the receipt for the 10k cash deposit we paid, after going thru the teams and conditions he printed the receipt and said to sign but non of us check that thinking he has done everything correctly. Kids carpet got installed but my daughter was not happy and bust into tears said that's not we have chosen. I had a look at the pix but was not Hugh difference so did not say nothing but when got the luxurious beauty I then said no no more compromising coz we paid for the samples not what Hayden wants to give us. The installer walked into the house and asked for the samples which I gave and then he said that's not what's in the van. Neil called Hayden who then said and accused us said that we walked into the store and took more samples and it's our error. Today we went and spoke to Hayden who then said that we ordered original colours which we have no idea. I said no we have only took 2 samples 1 master bedroom and other one for downstairs but he was not willing to listen. He then started shaking and went all pink and loosing his speech. He then said 2 option stick to what he gives us or pay additional 5k for luxurious beauty. I said no I will not pay anything extra, I want the same sample carpet or refund my full money. Store manager Johnny came into to conversation which he has no customer service skills, he just don't know how to talk to customers, he was shouting at us and said to walk out of the store, I said yes I will give me my sample carpet which I pad for or refund my full money. I would really appreciate if you could please check the camera as a prove that we and Hayden only spoke about mystic fog and Swiss coffee no other carpets and Hayden gave us only 2 samples which we have chosen. We also had a issue with the flooring where Johnny was screaming on the phone to my husband, I was in other room but could hear all the conversation. Please help me out get this resolved ASAP as we don't have carpet in the room and we cannot use the room. I want either my samples carpet I took or full refund. As I said please do check your camera what Hayden did coz he was flipping the carpets front and back while he was putting it in the system. I was going to do my whole house shopping at Harvey Norman but will now think twice.
Hope to hear from you soon

Kind regards
Priya
[protected]

Read full complaint
View 0 more photos
Hide full review
ComplaintsBoard
G
10:25 am UTC
Verified customer This complaint was posted by a verified customer. Learn more

Harvey Norman prints j762be73020755

I ordered prints ref above, today. I got a new phone and needed to print my photos before resetting the old phone. I done 206 prints on the self service machine after collecting the prints I went for dinner reset the phone as a family member needed it, when I got home I sat down with a cuppa to check the photos which I then realised there was double of every photo (which I did not request) and also half the photos where missing. I rang the store and spoke with Richie who was very helpful and explained there was another set of prints still in the store. I was so glad I had no problem going back out to collect them. When I did there was still photos from 2 of my best friends weddings missing, I asked the girl behind the desk and she said no all the photos were done. Now looking at my receipt it has 194 photos printed, I definitely ordered 206 separate photos as I ensured I ordered over 200 as it's cheaper so why it's saying 194 I've no idea. I don't know if this is a computer error but I'm so up set as I have no deleted all them photos I requested to be printed.. So of the 206 prints i only have half of 194 as these photos are doubles. I paid €38.80 on 2 of every photo and have lost 109 important momories in photos. I'm really up set about this and would appreciate if the computers could be checked to see can I save some of my photos. €38.80 is a lot for 97 photos when I requested 206.

Yours Sincerely
Gamma Cuffe
[protected]
[protected]@hotmail.com

Read full complaint
Hide full review
ComplaintsBoard
R
7:38 pm UTC
Verified customer This complaint was posted by a verified customer. Learn more

Harvey Norman ben smith (broadmeadows store)

I purchased a 3 piece Gaucho powered recliner suite (mist) and it was delivered Thursday week ago (19/10). I paid the extra $369 for fabric protection including the three pieces being treated with an antibacterial stain protection solution. As soon as it arrived I could see it hadn't had the solution put on it as the delivery guys literally opened the box it came in and carried all the separately wrapped pieces into my lounge where I watched them assemble it. I did get my insurance booklet. I rang Ben straight away to query this and he said ‘what did the delivery guys say to you?!' He sounded cross. I told him the delivery guys hadn't said anything but I could tell it had not been treated with the solution. All I want is what I have paid for. He said he'd ring the del guys and ring me right back. Which he didn't! As we'd emailed previously (as he'd quoted via email) I sent him an email explaining that I'd like this sorted out ASAP as clearly it's been overlooked and I would like it rectified. He never replied to my email and avoids speaking to me if he can help it. He admitted to me over the phone on Friday 20th that the suite did not get treated with the solution and he said he would post me out two tins of the product (mentioned in the front cover of the insurance booklet). This has not happened. I suggested they could send someone to the house to treat my lounges in situ which is my preference but they wouldn't agree to that. I was promised a call back on this Thursday or Friday with the tracking numbers from Aus Post once the tins had been posted but that hadn't happened either! I am feeling very frustrated at this disgusting lack of care or consideration. At the end of the day I just want what I have paid for. I should not have to fabric treat my own lounge suite as I have paid for it to be done for me. I was willing to do that but can't as they won't send me the products. I live in Hilldene which is quite a way from Broadmeadows and paid the $175 in delivery costs. I should not have to travel to the Broadmeadows store to collect tins of product and then travel all the way home to spray them on couches that I had paid good money to have done for me!

Read full complaint
Hide full review
ComplaintsBoard
C
12:42 am UTC
Verified customer This complaint was posted by a verified customer. Learn more

Harvey Norman lack of communication

Date: 12/10/2017
P10125-c32r/bur
I had to ring the store to find out where my stock was and when I was getting it, I was informed that it wouldn't be here until the 20/10/2017 and to allow 7 day for it to be delivered, I have just rung the store and been informed that the sales person amal dealing with me was on holidays and wouldn't be contacted until she returned. I was informed that it would take another 7 to 14 days before it reached the store and then they would contact me. I was happy to wait the 14 weeks but I am starting to see that 14 weeks is now going to turn into 18 to 20 weeks. Sorry but it doesn't take 5 months to make an item and ship it.
I would have at least liked a phone call letting me know of any delays, as I am moving next month and this makes it hard.

Read full complaint
Hide full review
ComplaintsBoard
H
10:56 pm UTC

Harvey Norman unethical behaviour

I Buy Samsung Gear S3 + two year extra insurance from Harvey Norman Springvale store on 7/02/2017 and I had Some Battery Issues with it. So I submit it to Springvale store on 19/July/2017.

After few weeks I got it back with scratches. I click some pictures and show to employee. After he verify and talk to manager (as he said), he book watch again to replacement. He took Picture in a pen drive for a reference.

After few weeks they call me to pick watch from store. When I went there to Pick watch I see it's same watch with less scratches and i refuse to receive. Then again they send watch for replacement.

After few weeks, I received a call from Samsung and they said that it's not out fault it's Harvey Norman's Fault. You have to solve out with them directly. So I write an email (Query Confirmation Number: 510023). But I did not get any reply. So I call again to store again to know about my issue. Then I talk to Chris. I explain him everything. He give me his mobile number so that i can call him only because he know everything about my issue. He told me to send a email on store's email address.

I send him everything that he wants, but in last he said he want original photo with metadata (which i already provide in pen drive.)

After that I did not get any reply and i went to store. There I meet to Chris and he said he cant do nothing because i did not provide photo with metadata. But after explain him everything again they send watch for replacement to Samsung.

But last week again I got a call to pick same watch.

Then I went to store to meet manager, where again i meet Chris. He force me to accept hardware or told me to sign as I don't want Hardware. I request him to reply my emails because I am not too good in verbal English communication.
After that they start to blame that i want refund and still today they are not replying my emails properly. I ask something and they replying something else.

attached document in which clearly mention "The watch come back but has scratches on the dial"

Read full complaint
View 0 more photos
Hide full review
ComplaintsBoard
D
9:16 pm UTC
Verified customer This complaint was posted by a verified customer. Learn more

Harvey Norman incorrect information about carpet laying

Our house ( no 4 Kiah ave, Jesmond, NSW2299) damage due to water on 16/8/2017. Com insure( Claim no [protected]) has given the repair work to Siemens Restorations and they have given the carpet relaying in our house to Harveynorman. Harveynorman has given to Bennetts Green store

End of August representative came from Bennetts Green and measured the upstairs and the staircase. On 25/09/2017 received a call from the store asking me to come to showroom to select the carpets.
Same day I went to the show room and selected the carpet and sales person Matthew Cox went through the diary and said available next date for carpet laying is 17/10/2017. I requested a earlier date but he said not possible. Then I accepted 17/10/2017.
On 16/10/2017 morning I started bringing all the things from upstairs to garage to clear the place for carpet people. I contacted Mathew on 16/10/2017 afternoon to ask what time tradesman will come to our house he said there is no booking for 17/10/2017. He said carpets have not arrived and after carpets arrive only he can give a date. Then I explain to him that on 25/9/2017 in front of me he went through the diary and gave me the date 17/10/2017. He said its not worth arguing about the date if i want i can cancel the order. I said we are affected since mid August and its unprofessional to say like that. I told him I am going to complain to Harvey norman and Siemens Restoration too. I complain to Siemens Restoration on 16/10/2017 afternoon. They said they will speak to Harvey norman. Then i started putting back what I brought from upstairs. When i was taking things up and down my son fell from the 1st step near the main door and bump back of his head and had some bleeding. I had to take him to GP and this was the first casualty for last 9 weeks.
On 17/10/2017 I received a call from Mathew and said 21/10/2017 carpet laying people are available and is it alright. I said its fine.
After he confirm me that 21/10/2017 tradesmen are coming I removed the things again from upstairs to garage on 20/10/2017 and dismantle two kings beds and one princes bed.
After the tradesman came he said he works only till 1 pm, he does only small jobs and he works only Saturdays too. Mathew has informed the tradesman this as a small job but when he came to collect the carpets and when he got the laying map only he has found this is not a small job. Then he tried to contact him but he has not answered to the phone. Trades person said he can't finish the job today.

I tried to contact Mathew on 21, 22 /10/2017 and left messages at the store but no answer.
The person came to lay the carpets complete 40% of work and left the home 1.30pm
Today I found an email from him and I am attaching this for your information too

Hi
Received an email from admin to say carpet layer needs to finish carpet. He rang the store yesterday to say that it needs more time.
He can finish next Saturday. I will ask around to see if any other installers are available during the week but they are all flat out so I don’t like our chances.

I will be in touch in the coming days.
Thanks
Matthew

Hi
Will know more tomorrow.
Worst case scenario 2 guys will be there on Saturday.
Thanks
Matthew

Considering above facts I feel Harvey norman store representative Mathew Cox has cheated me twice.
1. On 25/9/2017 when I selected the carpets he gave me the date
17/10/2017 for carpet laying and 16/10/2017 he says there is no booking
under my name for 17/10/2017

2. On 21/10/2017 he send one tradesman to my place to who works only
Saturdays, works till 1 pm and does only small jobs too.

I have purchased so many things to our house from Harvy norman. ex: 60" TV, B/Ray HT system, Vacuum cleaner and recently bought kings size double bed too. I have all the invoices to prove. I am a frequent customer of Harvey norman and purchased more than $10, 000 worth of items from your organisation. Its sad to say that this is the first time I came up with a such a untruest worthy sales person in your organisation
Considering above facts can you'll investigate this incident and arrange professional tradesman to complete our job soon as possible as this water the damage happens to our house on 16/8/2017 and we are living last 9 weeks uncomfortably with two small kids
On top of this I need a compensation for wasting my time and making inconvenience to me and my family

Read full complaint
Hide full review
ComplaintsBoard
M
6:38 am UTC

Harvey Norman harvey norman

Beware if you are thinking about shopping at Harvey Norman, their business and franchise model is flawed and will potentially cost you money.

I purchased a HP laptop from Harvey Norman (with extended warranty) and 6 months later from another Harvey Norman store I purchased a Samsung LED monitor and a Targus USB 3.0 video docking station so I could have an additional monitor and additional USB ports. Unfortunately when the HP laptop, Samsung monitor and Targus USB 3.0 video docking station were connected I had pink lines across the monitor and I was unable to see anything. When the Targus USB 3.0 video docking station was disconnected the Samsung monitor worked without any problems.

I returned the Targus USB docking station to Harvey Norman and was told it was working fine and the problem was with the HP laptop computer (which was still under manufacturers warranty) and as I had purchased it at another Harvey Norman store I would have to return to that store.

When I returned to the Harvey Norman store where I purchased the HP Laptop, I was told the laptop was working fine and it was the Targus USB docking station and I would have to return to that Harvey Norman store.

I tried to lodge a complaint with Harvey Norman online but was told my complaint was an issue with the store when I purchased the product - that is two Harvey Norman franchisees and it seems neither are responsible for this. I have purchased a product that is not fit for purpose and no one is responsible because of the Harvey Norman franchise model.

I hate Harvey Norman with such passion - bring on Amazon
#Harvey Norman # Amazon #Targus #HP Laptop #complaint #Samsung

Read full complaint
Hide full review
ComplaintsBoard
N
1:47 am UTC

Harvey Norman dining table

On October 2015, I purchased a dining table for $3000 from harvey norman ( morayfield branch) . 2 months later, all the chairs' frames & the middle part of the dining table top got rusted. I was absolutely shocke so I contacted harvey norman and It took them 10 months to contact the supplier "in china", investigate and get them replaced. Now, i am getting anothet issue which is the bottom cover on the chairs is falling apart for no obvious reason .I contacted them again but obviously the chairs are out of warranty but they will see what they can do...I really expected a high quality product for this price I paid but what I received is sorry to say rubbish . Can't describe how angry I am.

Read full complaint
View 0 more photos
Hide full review
ComplaintsBoard
L
12:10 am UTC

Harvey Norman multiple price tickets on a product

Hi, today I was shopping for a mixer in the Nunawadding branch of Harvey Norman.
I was approached by a staff member who's name I did not get, and I asked him to tell me about the mixer (Kenwood Multione) which had a standing sales ticket of $299 with the make and model clearly visible on the ticket.
We discussed what attachments came with the product, and he told me that this model was out of stock and was not going to be returning. I enquired about purchasing the display model if it had all of it's attachments.
He went and received the box with said attachments.
I asked what price reduction I would receive due to the product being a discontinued display model.
He informed me that the price would be $398.
Confused, pointed out the sale price of $299, which I believed to be the original sale
price of a brand new product in a sealed box. Why would I pay $100 more for an ex display?
He told me that the $299 price tag was wrong and quickly whisked it away. No other explanation was given, no further reduction from the now remaining $398 ticket. There were no other Kenwood products on the shelf that this lower price tag could refer to. It specifically stated the model on the ticket.

I felt like I was being duped into paying more for an ex display item that was being discontinued, than the price that was advertised for a brand new one.
I left the store quite angy and upset as I thought that even if mistakenly priced, a retail store had to honour the lower price shown. The staff member tried to get me to pay an extra $100 for a display model!
Luckily, I took a photo of the deal while the staff member was finding the box, and I will be happy to pass it along to the ACCC as I feel that this is very misleading to consumers.

Read full complaint
View 0 more photos
Hide full review
ComplaintsBoard
M
4:51 pm UTC

Harvey Norman eastern 3 seater lounge/customer service

On the 5th of August i purchased an eastern 3 seater lounge with chaise, we were quoted 8 weeks for the lounge to arrive. A week before its arrival we rang the store to make sure it was still running on time only to realise scott (the store manager) had ordered our lounge in the correct colour and our chaise in a completely different colour. The manager said to leave it with him and he would call me back on Monday, it got to saturday and nobody had contacted me so i went to the store to find out what was happening with our lounge. The manager said it had all been correct and was going to be another 5 WEEKS... I told the manager that was a long time for a chaise to be recovered and he again said leave it with me i will ring you back on monday, once again not a single call was made to me so i had to call them to find out when it was coming, i was then quoted two weeks (friday 13th of october). I rang the store yesterday to make sure it was again still running on time and once again the managers response was i will call you back tomorrow...

Read full complaint
Hide full review
ComplaintsBoard
M
2:20 am UTC

Harvey Norman fujitsu cash back visa cards

On 31/07/2017 we purchased 2 split air conditioners from your store at Morayfield.
The salesman who served us informed us that we would receive gift cards to the value of $350 from Fujitsu who were running a promotion we were also informed that Harvey Norman would match these cards and also provide 2 cases of wine.
We received the Harvey Norman gift cards and the wine .
On 11/08/2017 we submitted online the application for the gift cards and at the conclusion of the application it stated that our application was successful.
At the end of the application it stated we would receive a tracking number and the cards wold arrive in 4 weeks they did not arrive
On contacting Fujitsu were were told that the application was not submitted But we know we did as we can even describe what was on application form
And that we submitted it well before close of offer.
After contacting Fujitsu and explaining our problem and the fact that we are now out of pocket $350 as per their promotion.
We were told nothing they can do as promotion is finished .
We feel that we as loyal customers of Harvey Norman we have been treated unfairly as we did exactly what was stated on promotion form .
All we are asking is there any way you can help us redeem the $350 because Fujitsu has completely treated us with utter contempt and won't listen there must have been some glitch in the system.we have been loyal customers for more than 15 years if you check your computers we were trading under the company name of Dust Busters .
Regards
Melodyanne Meyers

Read full complaint
Hide full review
ComplaintsBoard
H
5:05 am UTC
Resolved
The complaint has been investigated and resolved to the customer’s satisfaction.
Harvey Norman Logo Replied
Harvey Norman has left an official reply on this complaint.

Harvey Norman customer service/salesperson

On Wednesday 13 th September, 2017, I went shopping in the tile and bathroom section of the Caringbah Home Centre. While browsing I saw and overheard the interactions between staff and customers in the store. With a raised voice, a guy by the name of Wally continuously reprimanded only one staff member called Candice within ear shot of staff and customers alike. I could see the embarrassment on her face and her frustration as she denied some of his accusations. When Candice finished talking to a customer on the phone, Wally yelled out to her “Come here.” He insisted on telling her off in front of the colleague sitting beside her, the customer they were serving as well everyone else in the store. She said she didn’t want to discuss it in front of staff and patrons and asked that they take it outside. His reply was “I don’t care.” She asked him to take it outside again and they walked to the fringe of the store he got right in her face using stand over tactics and proceeded to yell at her saying things like “I told you
not to do…” “You just don’t listen” etc, even in spite of those walking by. I eventually walked out of the store in discomfort. I was shocked and disgusted at his unprofessionalism. His actions were totally unacceptable and as employer, if an employee of mine spoke to another member of staff in this manner they would be instantly dismissed. While I really wanted to say something to him, I believed it would be more effective if I used this channel instead. It’s my obligation to do something to prevent this from
happening again and sincerely hope that this complaint is taken seriously and rectified accordingly.I can also say that I was not the only customer that was uncomfortable and walked away from the situation.

Regards
G Tourni

Read full complaint
Update by Helena Blixt Tourni
Sep 25, 2017 5:07 am UTC

On Wednesday 13 th September, 2017, I went shopping in the tile and bathroom section of the Caringbah Home Centre. While browsing I saw and overheard the interactions between staff and customers in the store. With a raised voice, a guy by the name of Wally continuously reprimanded only one staff member called Candice within ear shot of staff and customers alike. I could see the embarrassment on her face and her frustration as she denied some of his accusations. When Candice finished talking to a customer on the phone, Wally yelled out to her “Come here.” He insisted on telling her off in front of the colleague sitting beside her, the customer they were serving as well everyone else in the store. She said she didn’t want to discuss it in front of staff and patrons and asked that they take it outside. His reply was “I don’t care.” She asked him to take it outside again and they walked to the fringe of the store he got right in her face using stand over tactics and proceeded to yell at her saying things like “I told you
not to do…” “You just don’t listen” etc, even in spite of those walking by. I eventually walked out of the store in discomfort. I was shocked and disgusted at his unprofessionalism. His actions were totally unacceptable and as employer, if an employee of mine spoke to another member of staff in this manner they would be instantly dismissed. While I really wanted to say something to him, I believed it would be more effective if I used this channel instead. It’s my obligation to do something to prevent this from
happening again and sincerely hope that this complaint is taken seriously and rectified accordingly.I can also say that I was not the only customer that was uncomfortable and walked away from the situation.

Regards
G Tourni

Resolved

The complaint has been investigated and resolved to the customer's satisfaction.

Hide full review

About Harvey Norman

Harvey Norman is a large retailer offering a variety of consumer products. They specialize in electronics, computers, furniture, and home appliances. Services include product insurance, tech support, and delivery options. They operate multiple stores and an online platform.
Trust badge
Collect Your Trust Badge
Be recognized for outstanding customer service